ANSM - Mis à jour le : 29/09/2014
JASMINELLE 0,02 mg/3 mg, comprimé pelliculé
Ethinylestradiol/Drospirénone
Veuillez lire attentivement l'intégralité de cette notice avant de prendre ce médicament.
· Gardez cette notice, vous pourriez avoir besoin de la relire.
· Si vous avez toute autre question, si vous avez un doute, demandez plus d’informations à votre médecin ou à votre pharmacien.
· Ce médicament vous a été personnellement prescrit. Ne le donnez jamais à quelqu’un d’autre, même en cas de symptômes identiques, cela pourrait lui être nocif.
· Si l’un des effets indésirables devient grave ou si vous remarquez un effet indésirable non mentionné dans cette notice, parlez-en à votre médecin ou à votre pharmacien.
Points importants à connaître concernant les contraceptifs hormonaux combinés (CHC) :
· Ils comptent parmi les méthodes de contraception réversibles les plus fiables lorsqu’ils sont utilisés correctement.
· Ils augmentent légèrement le risque de formation d’un caillot sanguin dans les veines et les artères, en particulier pendant la première année de leur utilisation ou lorsque le contraceptif hormonal combiné est repris après une interruption de 4 semaines ou plus.
· Soyez vigilante et consultez votre médecin si vous pensez présenter les symptômes évocateurs d’un caillot sanguin (voir rubrique 2 « Caillots sanguins »).
Dans cette notice :
1. QU'EST-CE QUE JASMINELLE 0,02 mg/3 mg, comprimé pelliculé ET DANS QUELS CAS EST-IL UTILISE ?
2. QUELLES SONT LES INFORMATIONS A CONNAITRE AVANT DE PRENDRE JASMINELLE 0,02 mg/3 mg, comprimé pelliculé ?
3. COMMENT PRENDRE JASMINELLE 0,02 mg/3 mg, comprimé pelliculé ?
4. QUELS SONT LES EFFETS INDESIRABLES EVENTUELS ?
5. COMMENT CONSERVER JASMINELLE 0,02 mg/3 mg, comprimé pelliculé ?
6. INFORMATIONS SUPPLEMENTAIRES
1. QU'EST-CE QUE JASMINELLE 0,02 mg/3 mg, comprimé pelliculé ET DANS QUELS CAS EST-IL UTILISE ?
Progestatifs et Estrogènes, Associations fixes.
JASMINELLE 0,02 mg/3 mg, comprimé pelliculé est une pilule contraceptive utilisée afin d'éviter une grossesse.
Chaque comprimé contient une faible quantité de deux substances à activité hormonale: la drospirénone et l'éthinylestradiol.
Les contraceptifs oraux qui contiennent deux substances à activité hormonale sont appelés contraceptifs oraux "combinés".
Liste des informations nécessaires avant la prise du médicament
Remarques générales
Avant de commencer à utiliser JASMINELLE, 0,02 mg/3 mg, comprimé pelliculé vous devez lire les informations concernant les caillots sanguins en rubrique 2. Il est particulièrement important de lire la description des symptômes d’un caillot sanguin – voir rubrique 2, « Caillots sanguins »).
Avant de commencer un traitement par JASMINELLE 0,02 mg/3 mg, comprimé pelliculé, un interrogatoire sur vos antécédents médicaux personnels et familiaux proches sera effectué par votre médecin. Votre pression artérielle sera mesurée et, si besoin est, selon votre situation personnelle, d'autres examens pourront être demandés.
Cette notice décrit plusieurs situations où vous devez arrêter de prendre JASMINELLE 0,02 mg/3 mg, comprimé pelliculé ou des circonstances où l'efficacité contraceptive pourrait être diminuée. Dans ces cas, vous ne devez pas avoir de rapports sexuels ou alors, vous devez utiliser d'autres méthodes contraceptives non hormonales comme le préservatif ou toute autre barrière mécanique. N'utilisez pas de méthodes naturelles de contraception (mesure de la température, aspect de la glaire cervicale). En effet, ces méthodes peuvent ne pas être fiables car JASMINELLE 0,02 mg/3 mg, comprimé pelliculé a un effet sur la température corporelle et sur la glaire cervicale.
Comme les autres contraceptifs oraux, JASMINELLE 0,02 mg/3 mg, comprimé pelliculé ne protège pas des infections à VIH (SIDA) ou des autres maladies sexuellement transmissibles.
Dans quels cas ne devez-vous jamais utiliser JASMINELLE ?
Vous ne devez pas utiliser JASMINELLE 0,02 mg/3 mg, comprimé pelliculé si vous êtes dans l’une des situations listées ci-dessous. Si tel est le cas, vous devez en informer votre médecin. Votre médecin discutera avec vous d’autres méthodes de contraception qui seraient plus adaptées.
Ne prenez jamais JASMINELLE 0,02mg/3mg, comprimé pelliculé dans les cas suivants :
· si vous avez (ou avez déjà eu) un caillot dans un vaisseau sanguin d’une jambe (thrombose veineuse profonde [TVP]), d’un poumon (embolie pulmonaire [EP]) ou d’autres organes ;
· si vous vous savez atteinte d’un trouble affectant la coagulation sanguine – par exemple, un déficit en protéine C, un déficit en protéine S, un déficit en antithrombine III, une mutation du facteur V de Leiden ou la présence d’anticorps anti-phospholipides ;
· si vous devez être opérée ou si vous êtes alitée pendant une durée prolongée (voir la rubrique « Caillots sanguins ») ;
· si vous avez déjà eu une crise cardiaque ou un accident vasculaire cérébral (AVC) ;
· si vous avez (ou avez déjà eu) une angine de poitrine (une maladie provoquant des douleurs intenses dans la poitrine et pouvant être le signe précurseur d’une crise cardiaque) ou un accident ischémique transitoire (AIT - symptômes temporaires d’AVC) ;
· si vous avez l’une des maladies suivantes pouvant augmenter le risque de caillot dans les artères :
o diabète sévère avec atteinte des vaisseaux sanguins
o pression artérielle très élevée
o taux très élevé de graisses dans le sang (cholestérol ou triglycérides)
o maladie appelée hyperhomocystéinémie
· si vous avez (ou avez déjà eu) un type de migraine appelé « migraine avec aura ».
· si vous avez (ou avez déjà eu) une affection du foie avec absence de normalisation de votre fonction hépatique ;
· si vos reins ne fonctionnent pas correctement (insuffisance rénale) ;
· si vous avez (ou avez déjà eu) une tumeur du foie ;
· si vous avez (ou avez déjà eu) un cancer du sein ou des organes génitaux ou si vous avez une suspicion de cancer du sein ou des organes génitaux ;
· si vous avez des saignements vaginaux inexpliqués ;
· si vous êtes allergique à l'éthinylestradiol ou la drospirénone, ou à l'un des composants de JASMINELLE 0,02mg/3mg, comprimé pelliculé. Cela peut se manifester par des démangeaisons, une éruption cutanée ou un gonflement.
Précautions d'emploi ; mises en garde spéciales
Faites attention avec JASMINELLE 0,02 mg/3 mg, comprimé pelliculé:
Dans quels cas devez-vous contacter votre médecin ?
Consultez un médecin de toute urgence
· si vous remarquez de possibles signes d’un caillot sanguin, qui pourraient indiquer que vous avez un caillot sanguin dans une jambe (thrombose veineuse profonde), que vous avez un caillot sanguin dans un poumon (embolie pulmonaire) ou que vous faites une crise cardiaque ou un AVC (voir la rubrique « Caillots sanguins » ci-dessous).
Pour la description des symptômes de ces effets indésirables graves, reportez-vous à la rubrique « Comment reconnaître un caillot sanguin ».
Si vous êtes dans l’une des situations suivantes, informez-en votre médecin.
Comme avec tout contraceptif oral combiné, dans certains cas, vous devez prendre des précautions particulières pendant l'utilisation de JASMINELLE 0,02 mg/3 mg, comprimé pelliculé. Il peut être nécessaire d'être suivie régulièrement par votre médecin. Si le problème apparaît ou s’aggrave pendant l’utilisation de JASMINELLE 0,02 mg/3 mg, comprimé pelliculé, vous devez également en informer votre médecin.
· en cas de survenue ou antécédent de cancer du sein chez un parent proche ;
· si vous avez une affection du foie ou de la vésicule biliaire,
· si vous êtes diabétique ;
· en cas de dépression ;
· si vous êtes atteinte de la maladie de Crohn ou de rectocolite hémorragique (maladies inflammatoires chroniques des intestins) ;
· si vous avez un syndrome hémolytique et urémique (SHU) (un trouble de la coagulation sanguine qui entraîne une défaillance des reins) ;
· si vous avez une drépanocytose (une maladie héréditaire touchant les globules rouges) ;
· si avez des taux élevés de graisses dans le sang (hypertriglycéridémie) ou des antécédents familiaux de ce trouble. L’hypertriglycéridémie a été associée à une augmentation du risque de pancréatite (inflammation du pancréas) ;
· si vous devez être opérée ou si vous êtes alitée pendant une durée prolongée (reportez-vous à la rubrique 2, « Caillots sanguins ») ;
· si vous venez juste d’accoucher, vous êtes exposée à un risque augmenté de caillots sanguins. Vous devez demander à votre médecin combien de temps après l’accouchement vous pouvez commencer à prendre JASMINELLE 0,02 mg/3 mg, comprimé pelliculé ;;
· si vous avez une inflammation des veines situées sous la peau (thrombophlébite superficielle) ;
· si vous avez des varices.
· si vous êtes épileptique (Voir page 4 « JASMINELLE 0,02mg/3mg, comprimé pelliculé et utilisation d'autres médicaments ») ;
· si vous avez un lupus érythémateux disséminé (LED) (une maladie qui affecte votre système de défenses naturelles) ;
· si vous avez présenté l'une des pathologies suivantes lors d'une grossesse ou lors de la prise antérieure d'un traitement hormonal : perte auditive, maladie du sang appelée porphyrie, une éruption de vésicules sur la peau pendant la grossesse (herpès gestationnel), une maladie des nerfs avec survenue de mouvements corporels brusques non contrôlés (chorée de Sydenham) ;
· si vous avez (ou avez déjà eu) un chloasma (une pigmentation anormale de la peau en particulier sur le visage ou le cou, appelée « masque de grossesse »). Dans ce cas, évitez toute exposition directe au soleil ou aux rayons ultraviolets.
· si vous avez un angiœdème héréditaire, les médicaments contenant des estrogènes peuvent en causer ou en aggraver les symptômes. En cas de survenue d'un des symptômes suivants d'angiœdème : gonflement de la face, de la langue et/ou de la gorge et/ou difficulté à avaler ou une urticaire associée à des difficultés pour respirer, consultez immédiatement votre médecin.
CAILLOTS SANGUINS
L’utilisation d’un contraceptif hormonal combiné tel que JASMINELLE 0,02 mg/3 mg, comprimé pelliculé augmente le risque d’apparition d’un caillot sanguin en comparaison à une non-utilisation. Dans de rares cas, un caillot sanguin peut bloquer des vaisseaux sanguins et provoquer de graves problèmes.
Les caillots sanguins peuvent se former :
· dans les veines (on parle alors de « thrombose veineuse » ou de « thrombo-embolie veineuse » [TEV]) ;
· dans les artères (on parle alors de « thrombose artérielle » ou de « thrombo-embolie artérielle » [TEA]).
Le rétablissement, suite à des caillots sanguins, n’est pas toujours complet. Dans de rares cas, ils peuvent entraîner des séquelles graves et durables et, dans de très rares cas, ils peuvent être fatals.
Il est important de garder à l’esprit que le risque global de caillot sanguin dû à JASMINELLE 0,02 mg/3 mg, comprimé pelliculé est faible.
COMMENT RECONNAÎTRE UN CAILLOT SANGUIN
Consultez un médecin de toute urgence si vous remarquez l’un des signes ou symptômes suivants.
|
Présentez-vous l’un de ces signes ? |
Il peut éventuellement s’agir de : |
|
· gonflement d’une jambe ou le long d’une veine de la jambe ou du pied, en particulier s’il s’accompagne de : o douleur ou sensibilité dans la jambe, pouvant n’être ressentie qu’en position debout ou lors de la marche o chaleur dans la jambe affectée o changement de couleur de la peau de la jambe, devenant p. ex. pâle, rouge ou bleue
|
Thrombose veineuse profonde |
|
· apparition soudaine et inexpliquée d’un essoufflement ou d’une respiration rapide · toux soudaine sans cause apparente, avec parfois des crachats de sang · douleur aiguë dans la poitrine, qui peut s’accentuer en cas de respiration profonde · étourdissements ou sensations vertigineuses sévères · battements de cœur rapides ou irréguliers · douleur intense dans l’estomac
En cas de doute, consultez un médecin car certains de ces symptômes, comme la toux ou l’essoufflement, peuvent être pris à tort pour les signes d’une maladie moins sévère telle qu’une infection respiratoire (p.ex. un simple rhume).
|
Embolie pulmonaire |
|
Symptômes apparaissant le plus souvent dans un seul œil : · perte immédiate de la vision ou · vision trouble sans douleur pouvant évoluer vers une perte de la vision
|
Thrombose veineuse rétinienne (caillot sanguin dans l’œil) |
|
· douleur, gêne, pression, lourdeur dans la poitrine ; · sensation d’oppression ou d’encombrement dans la poitrine, le bras ou sous le sternum ; · sensation d’encombrement, d’indigestion ou de suffocation ; · sensation de gêne dans le haut du corps irradiant vers le dos, la mâchoire, la gorge, le bras et l’estomac ; · transpiration, nausées, vomissements ou sensations vertigineuses ; · faiblesse, anxiété ou essoufflement extrêmes ; · battements de cœur rapides ou irréguliers
|
Crise cardiaque |
|
· apparition soudaine d’une faiblesse ou d’un engourdissement au niveau du visage, d’un bras ou d’une jambe, en particulier d’un côté du corps ; · apparition soudaine d’une confusion, de difficultés à parler ou à comprendre ; · apparition soudaine de difficultés à voir d’un œil ou des deux yeux ; · apparition soudaine de difficultés à marcher, de sensations vertigineuses, d’une perte d’équilibre ou de coordination ; · maux de tête soudains, sévères ou prolongés, sans cause connue ; · perte de conscience ou évanouissement avec ou sans crise convulsive.
Parfois, les symptômes de l’AVC peuvent être de courte durée, avec un rétablissement presque immédiat et complet, mais vous devez tout de même consulter un médecin de toute urgence car vous pourriez être exposée au risque d’un nouvel AVC.
|
Accident vasculaire cérébral (AVC) |
|
· gonflement et coloration légèrement bleutée d’une extrémité ; · douleur intense dans l’estomac (« abdomen aigu ») |
Caillots sanguins bloquant d’autres vaisseaux sanguins
|
CAILLOTS SANGUINS DANS UNE VEINE
Que peut-il se passer si un caillot sanguin se forme dans une veine ?
· Un lien a été établi entre l’utilisation de contraceptifs hormonaux combinés et l’augmentation du risque de caillots sanguins dans les veines (thrombose veineuse). Cependant, ces effets indésirables sont rares. Le plus souvent, ils surviennent pendant la première année d’utilisation d’un contraceptif hormonal combiné.
· Lorsqu’un caillot sanguin se forme dans une veine d’une jambe ou d’un pied, il peut provoquer une thrombose veineuse profonde (TVP).
· Si le caillot sanguin migre de la jambe vers le poumon, il peut provoquer une embolie pulmonaire.
· Dans de très rares cas, un caillot peut se former dans une veine d’un autre organe, comme l’œil (thrombose veineuse rétinienne).
À quel moment le risque d’apparition d’un caillot sanguin dans une veine est-il le plus élevé ?
Le risque d’apparition d’un caillot sanguin dans une veine est maximal pendant la première année d’utilisation d’un contraceptif hormonal combiné pris pour la première fois. Le risque peut également être augmenté lorsque vous recommencez à prendre un contraceptif hormonal combiné (le même produit ou un produit différent) après une interruption de 4 semaines ou plus.
Après la première année, le risque diminue mais reste toujours légèrement plus élevé que si vous n’utilisiez pas de contraceptif hormonal combiné.
Lorsque vous arrêtez de prendre JASMINELLE 0,02 mg/3 mg, comprimé pelliculé, le risque d’apparition de caillot sanguin revient à la normale en quelques semaines.
Quel est le risque d’apparition d’un caillot sanguin ?
Le risque dépend de votre risque de base de TEV et du type de contraceptif hormonal combiné que vous prenez.
Le risque global de caillot sanguin dans une jambe ou un poumon (TVP ou EP) associé à JASMINELLE 0,02 mg/3 mg, comprimé pelliculé est faible.
· Sur 10 000 femmes qui n’utilisent aucun contraceptif hormonal combiné et qui ne sont pas enceintes, environ 2 développeront un caillot sanguin sur une période d’un an.
· Sur 10 000 femmes qui utilisent un contraceptif hormonal combiné contenant du lévonorgestrel, de la noréthistérone ou du norgestimate, environ 5 à 7 développeront un caillot sanguin sur une période d’un an.
· Sur 10 000 femmes qui utilisent un contraceptif hormonal combiné contenant de la drospirénone, comme JASMINELLE 0,02 mg/3 mg, comprimé pelliculé, environ 9 à 12 développeront un caillot sanguin sur une période d’un an.
· Le risque d’apparition d’un caillot sanguin variera selon vos antécédents médicaux personnels (voir « Facteurs augmentant le risque de caillot sanguin » ci-dessous).
|
|
Risque d’apparition d’un caillot sanguin sur une période d’un an |
|
Femmes qui n’utilisent pas de contraceptif hormonal combiné (pilule) et qui ne sont pas enceintes |
Environ 2 femmes sur 10 000 |
|
Femmes qui utilisent une pilule contraceptive hormonale combinée contenant du lévonorgestrel, de la noréthistérone ou du norgestimate |
Environ 5 à 7 femmes sur 10 000 |
|
Femmes qui utilisent JASMINELLE 0,02 mg/3 mg, comprimé pelliculé |
Environ 9 à 12 femmes sur 10 000 |
Facteurs augmentant le risque de caillot sanguin dans une veine
Le risque de caillot sanguin associé à JASMINELLE 0,02 mg/3 mg, comprimé pelliculé est faible mais certaines situations peuvent augmenter ce risque. Le risque sera plus élevé :
· si vous avez un surpoids important (indice de masse corporelle [IMC] supérieur à 30 kg/m2) ;
· si l’un des membres de votre famille proche a eu un caillot sanguin dans une jambe, un poumon ou un autre organe à un âge relativement jeune (p. ex. avant l’âge de 50 ans). Si tel est le cas, vous pourriez être atteinte d’un trouble héréditaire de la coagulation sanguine ;
· si vous devez être opérée ou si vous êtes alitée pendant une période prolongée en raison d’une blessure ou d’une maladie, ou si votre jambe est immobilisée (p. ex. plâtre). Il pourra être nécessaire d’interrompre l’utilisation de JASMINELLE 0,02 mg/3 mg, comprimé pelliculé plusieurs semaines avant l’opération chirurgicale et/ou tant que votre mobilité est réduite. Si vous devez arrêter d’utiliser JASMINELLE 0,02 mg/3 mg, comprimé pelliculé, demandez à votre médecin à quel moment vous pourrez recommencer à l’utiliser.
· avec l’âge (en particulier au-delà de 35 ans) ;
· si vous avez accouché dans les semaines précédentes.
Plus vous cumulez ces situations, plus le risque d’apparition d’un caillot sanguin augmente.
Les voyages en avion (de plus de 4 heures) peuvent augmenter temporairement le risque de caillot sanguin, en particulier si vous présentez déjà certains des autres facteurs listés.
Il est important de prévenir votre médecin si vous êtes concernée par l’une de ces situations, même si vous n’en êtes pas certaine. Votre médecin pourra décider qu’il est nécessaire d’arrêter le traitement par JASMINELLE 0,02 mg/3 mg, comprimé pelliculé.
Si l’une des situations ci-dessus évolue pendant la période où vous utilisez JASMINELLE 0,02 mg/3 mg, comprimé pelliculé, par exemple si un membre de votre famille proche développe une thrombose sans raison connue ou si vous prenez beaucoup de poids, parlez-en à votre médecin.
CAILLOTS SANGUINS DANS UNE ARTÈRE
Que peut-il se passer si un caillot sanguin se forme dans une artère ?
Comme un caillot sanguin dans une veine, un caillot dans une artère peut provoquer de graves problèmes. Par exemple, il peut provoquer une crise cardiaque ou un accident vasculaire cérébral (AVC).
Facteurs augmentant le risque de caillot sanguin dans une artère
Il est important de noter que le risque de crise cardiaque ou d’AVC lié à l’utilisation de JASMINELLE 0,02 mg/3 mg, comprimé pelliculé est très faible mais peut augmenter :
· avec l’âge (au-delà de 35 ans) ;
· si vous fumez. Lors de l’utilisation d’un contraceptif hormonal combiné tel que JASMINELLE 0,02 mg/3 mg, comprimé pelliculé, il est conseillé d’arrêter de fumer. Si vous ne parvenez pas à arrêter de fumer et si vous êtes âgée de plus de 35 ans, votre médecin pourra vous conseiller d’utiliser une méthode de contraception différente ;
· si vous êtes en surpoids ;
· si vous avez une pression artérielle élevée ;
· si un membre de votre famille proche a déjà eu une crise cardiaque ou un AVC à un âge relativement jeune (avant l’âge de 50 ans). Si tel est le cas, le risque que vous ayez une crise cardiaque ou un AVC pourrait également être plus élevé;
· si vous, ou un membre de votre famille proche, avez un taux de graisses élevé dans le sang (cholestérol ou triglycérides) ;
· si vous avez des migraines, en particulier des migraines avec aura ;
· si vous avez des problèmes cardiaques (maladie de la valve cardiaque, trouble du rythme appelé fibrillation auriculaire) ;
· si vous êtes diabétique.
Si vous cumulez plusieurs de ces situations ou si l’une d’entre elles est particulièrement sévère, le risque d’apparition d’un caillot sanguin peut être encore plus élevé.
Si l’une des situations ci-dessus évolue pendant la période où vous utilisez JASMINELLE 0,02 mg/3 mg, comprimé pelliculé, par exemple si vous commencez à fumer, si un membre de votre famille proche développe une thrombose sans raison connue ou si vous prenez beaucoup de poids, parlez-en à votre médecin.
JASMINELLE 0,02 mg/3 mg, comprimé pelliculé et Cancer :
Le cancer du sein est plus fréquent chez les femmes qui prennent un contraceptif oral combiné. Il n'est cependant pas établi si cette différence est due au contraceptif oral combiné. En effet, il est possible que les femmes prenant un contraceptif oral combiné soient examinées plus souvent par leur médecin attentivement. Cette différence disparaît progressivement après l'arrêt du contraceptif oral combiné.
Il est important d'examiner régulièrement vos seins. En cas de survenue d'une grosseur suspecte, contactez votre médecin.
Dans de rares cas, des tumeurs bénignes du foie, et plus rarement encore des tumeurs malignes du foie ont été observées chez des femmes prenant un contraceptif oral. Consultez votre médecin si vous présentez subitement des maux de ventre intenses.
Saignements entre les règles :
Des saignements entre les règles, en dehors de la semaine d'interruption, peuvent survenir dans les premiers mois d'un traitement par JASMINELLE 0,02 mg/3 mg, comprimé pelliculé.
Si ces saignements persistent plusieurs mois ou s'ils apparaissent au bout de plusieurs mois d'utilisation, votre médecin doit en rechercher la cause.
Que faire si vos règles ne surviennent pas pendant la période (semaine) sans traitement ?
Si vous avez pris correctement tous les comprimés, si vous n'avez pas eu de vomissements ou de diarrhées sévères et si vous n'avez pas pris d'autres médicaments, il est peu probable que vous soyez enceinte.
Si vous n'avez pas vos règles deux fois de suite, il se peut que vous soyez enceinte. Consultez immédiatement votre médecin. Ne commencez pas la plaquette suivante tant que vous n'êtes pas certaine de ne pas être enceinte.
Interactions avec d'autres médicaments
JASMINELLE 0,02 mg/3 mg, comprimé pelliculé et utilisation d'autres médicaments:
|
Indiquez toujours à votre médecin qui vous prescrit JASMINELLE 0,02 mg/3 mg, comprimé pelliculé si vous prenez d'autres médicaments ou préparations à base de plantes. Indiquez également à tout autre médecin ou dentiste qui vous prescrira un autre médicament (ou à votre pharmacien) que vous utilisez JASMINELLE 0,02 mg/3 mg, comprimé pelliculé. Ils vous indiqueront si vous devez prendre des mesures contraceptives complémentaires (préservatifs par exemple) et si nécessaire, pendant quelle durée. |
Certains médicaments peuvent diminuer l'efficacité contraceptive de JASMINELLE 0,02 mg/3 mg, comprimé pelliculé et peuvent également provoquer des saignements entre les règles, tels que:
· les médicaments traitant:
o l'épilepsie (par exemple les barbituriques, la primidone, la phénytoïne, la carbamazépine, et l'oxcarbazépine),
o la tuberculose (par exemple la rifampicine),
o les infections par le VIH (le ritonavir, la névirapine) ou d'autres maladies infectieuses (des antibiotiques tels que la griséofulvine, une pénicilline ou une tétracycline),
o l'hypertension artérielle dans les vaisseaux sanguins du poumon (bosentan),
· les médicaments à base de millepertuis.
JASMINELLE 0,02 mg/3 mg, comprimé pelliculé peut influencer l'effet d'autres médicaments tels que:
· les médicaments contenant de la ciclosporine,
· la lamotrigine (un anti-épileptique) ce qui peut entraîner une augmentation de la fréquence des crises d'épilepsie.
Demandez conseil à votre médecin ou pharmacien avant d'utiliser tout médicament.
Examens biologiques:
Si vous devez effectuer un examen sanguin, informez votre médecin ou l'équipe du laboratoire que vous prenez une contraception hormonale, ces produits pouvant modifier les résultats de certains examens.
Interactions avec les aliments et les boissons
Aliments et boissons
Vous pouvez prendre JASMINELLE 0,02 mg/3 mg, comprimé pelliculé pendant ou en dehors des repas, avec une petite quantité d'eau si nécessaire.
Interactions avec les produits de phytothérapie ou thérapies alternatives
Sans objet.
Utilisation pendant la grossesse et l'allaitement
En cas de grossesse, ne prenez pas JASMINELLE 0,02 mg/3 mg, comprimé pelliculé. Si une grossesse survient sous JASMINELLE 0,02 mg/3 mg, comprimé pelliculé arrêtez immédiatement la prise du contraceptif et consultez votre médecin.
Si vous souhaitez être enceinte, vous pouvez arrêter de prendre JASMINELLE 0,02 mg/3 mg, comprimé pelliculé à tout moment (voir la rubrique « Si vous voulez arrêter de prendre JASMINELLE 0,02 mg/3 mg, comprimé pelliculé » page 9).
Demandez conseil à votre médecin ou à votre pharmacien avant de prendre tout médicament.
Allaitement
En cas d'allaitement, l'utilisation de JASMINELLE 0,02 mg/3 mg, comprimé pelliculé est en général déconseillée.
Consultez votre médecin si vous désirez prendre un contraceptif oral pendant l'allaitement.
Demandez conseil à votre médecin ou à votre pharmacien avant de prendre tout médicament.
Sans objet.
Effets sur l'aptitude à conduire des véhicules ou à utiliser des machines
Conduite de véhicules et utilisation de machines
Aucun effet sur l'aptitude à conduire des véhicules ou à utiliser des machines n'a été observé avec JASMINELLE 0,02 mg/3 mg, comprimé pelliculé.
Liste des excipients à effet notoire
Informations importantes concernant certains composants de JASMINELLE 0,02 mg/3 mg, comprimé pelliculé:
Excipient à effet notoire: lactose.
Si vous ne tolérez pas certains sucres, consultez votre médecin avant d'utiliser JASMINELLE 0,02 mg/3 mg, comprimé pelliculé.
3. COMMENT PRENDRE JASMINELLE 0,02 mg/3 mg, comprimé pelliculé ?
Instructions pour un bon usage
Sans objet.
Posologie, Mode et/ou voie(s) d'administration, Fréquence d'administration et Durée du traitement
Posologie:
Prenez un comprimé de JASMINELLE 0,02 mg/3 mg, comprimé pelliculé chaque jour, éventuellement avec un peu d'eau. Vous pouvez prendre le comprimé au cours ou en dehors des repas. Prenez votre comprimé chaque jour à la même heure.
La plaquette contient 21 comprimés. A côté de chaque comprimé est imprimé le jour de la semaine où vous devez le prendre. Si, par exemple, vous commencez à prendre JASMINELLE 0,02 mg/3 mg, comprimé pelliculé un mercredi, prenez le comprimé à côté duquel est inscrit « Mer ». Suivez la direction de la flèche indiquée sur la plaquette jusqu'à ce que vous ayez pris les 21 comprimés.
Ne prenez pas de comprimés pendant les 7 jours suivants. Pendant ces 7 jours sans prise de comprimé (appelée période d'arrêt) vos règles devraient commencer. Elles sont appelées « hémorragies de privation » et commencent en général 2 à 3 jours après la prise du dernier comprimé de JASMINELLE 0,02 mg/3 mg, comprimé pelliculé.
Le 8ème jour après la prise du dernier comprimé de la plaquette de JASMINELLE 0,02 mg/3 mg, comprimé pelliculé (c'est-à-dire après la période de 7 jours d'interruption), commencez la plaquette suivante, même si l'hémorragie de privation n'est pas terminée. Vous commencerez toujours chaque plaquette le même jour de la semaine et vos règles surviendront à peu près le même jour, tous les mois.
Si vous utilisez JASMINELLE 0,02 mg/3 mg, comprimé pelliculé de cette façon, vous êtes protégée d'une grossesse y compris pendant la période de 7 jours où vous ne prenez pas de comprimés.
Quand devez-vous commencer la première plaquette ?
· Si vous n'avez pas pris de contraception hormonale durant le mois précédent:
Commencez JASMINELLE 0,02 mg/3 mg, comprimé pelliculé le 1er jour de votre cycle (c'est-à-dire, le 1er jour de vos règles). Si vous commencez JASMINELLE 0,02 mg/3 mg, comprimé pelliculé le 1er jour de vos règles, vous êtes immédiatement protégée d'une grossesse. Vous pouvez également commencer JASMINELLE 0,02 mg/3 mg, comprimé pelliculé entre le 2ème et le 5ème jour de votre cycle, mais vous devez alors utiliser une méthode contraceptive complémentaire (par exemple un préservatif) pendant les 7 premiers jours.
· Si vous preniez auparavant un contraceptif oral combiné (associant deux substances à activité hormonale), un anneau vaginal ou un patch contraceptif combiné:
Vous pouvez commencer JASMINELLE 0,02 mg/3 mg, comprimé pelliculé de préférence le lendemain de la prise du dernier comprimé actif (dernier comprimé contenant les substances actives) de la pilule précédente, ou au plus tard le jour qui suit la période habituelle d'arrêt de prise de votre contraception précédente (ou après la prise du dernier comprimé inactif de votre contraception précédente).
Si vous changez de l'anneau vaginal ou du patch contraceptif combiné, suivez les conseils de votre médecin.
· Si vous utilisiez une méthode progestative seule (pilule progestative, injection, implant ou un système intra-utérin délivrant un progestatif):
o Si vous utilisiez une pilule progestative, vous pouvez commencer JASMINELLE 0,02 mg/3 mg, comprimé pelliculé à tout moment du cycle, le lendemain de l'arrêt de la pilule progestative.
o Si vous utilisiez un implant ou un SIU (Système Intra-Utérin), vous pouvez commencer JASMINELLE 0,02 mg/3 mg, comprimé pelliculé le jour du retrait.
o Si vous utilisiez un contraceptif injectable, débutez JASMINELLE 0,02 mg/3 mg, comprimé pelliculé le jour prévu pour la nouvelle injection.
Cependant, quelle que soit la méthode précédente, vous devez utiliser des précautions complémentaires (par exemple un préservatif) pendant les 7 premiers jours de prise de JASMINELLE 0,02 mg/3 mg, comprimé pelliculé.
· Après une fausse couche:
Suivez les conseils de votre médecin.
· Après un accouchement:
Vous pouvez commencer JASMINELLE 0,02 mg/3 mg, comprimé pelliculé 21 à 28 jours après l'accouchement. Si vous commencez après le 28ème jour, utilisez une contraception barrière complémentaire (par exemple un préservatif) pendant les 7 premiers jours d'utilisation de JASMINELLE 0,02 mg/3 mg, comprimé pelliculé.
Si, après l'accouchement, vous avez eu un rapport sexuel avant de prendre JASMINELLE 0,02 mg/3 mg, comprimé pelliculé, assurez-vous de ne pas être enceinte ou attendez vos prochaines règles avant de commencer JASMINELLE 0,02 mg/3 mg, comprimé pelliculé.
· Si vous allaitez et que vous souhaitez (re)commencer JASMINELLE 0,02 mg/3 mg, comprimé pelliculé après un accouchement, lire la rubrique « Allaitement » page 5.
Suivez les indications de votre médecin si vous ne savez pas quand démarrer votre contraception.
Symptômes et instructions en cas de surdosage
Si vous avez pris plus de JASMINELLE 0,02 mg/3 mg, comprimé pelliculé que vous n'auriez dû:
Aucune conséquence grave n'a été rapportée suite à un surdosage de JASMINELLE 0,02 mg/3 mg, comprimé pelliculé.
Si vous prenez plusieurs comprimés en une fois, les symptômes susceptibles d'apparaître sont des nausées ou des vomissements. Chez les petites filles, de petits saignements vaginaux peuvent se produire.
Si vous avez pris plus de JASMINELLE 0,02 mg/3 mg, comprimé pelliculé que vous n'auriez dû, ou découvrez qu'un enfant a pris des comprimés consultez immédiatement votre médecin ou votre pharmacien.
Instructions en cas d'omission d'une ou de plusieurs doses
Si vous oubliez de prendre JASMINELLE 0,02 mg/3 mg, comprimé pelliculé:
· Si l'oubli d'un comprimé est constaté dans les 12 heures qui suivent l'heure habituelle de la prise, l'effet contraceptif n'est pas diminué. Prenez immédiatement le comprimé oublié, et poursuivez le traitement normalement en prenant le comprimé suivant à l'heure habituelle.
· Si l'oubli d'un comprimé est constaté plus de 12 heures après l'heure habituelle de la prise, il existe un risque de grossesse. Plus le nombre de comprimés oubliés est élevé, plus le risque de tomber enceinte est important.
Le risque de grossesse est particulièrement important si vous oubliez de prendre des comprimés au début ou à la fin de la plaquette. Vous devez donc respecter les recommandations énoncées ci-après (Reportez-vous au diagramme page 8).
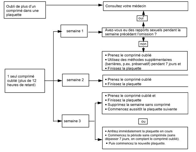
· Oubli de plus d'un comprimé de la plaquette:
Consultez votre médecin.
· Oubli d'un comprimé en semaine 1:
Prenez le comprimé oublié dès que vous constatez l'oubli, même si cela implique la prise de deux comprimés en même temps. Continuez à prendre les comprimés suivants à l'heure habituelle et utilisez des précautions complémentaires les 7 jours suivants, par exemple, un préservatif. Si des rapports sexuels ont eu lieu au cours des 7 jours précédant l'oubli, il se peut que vous soyez enceinte. Dans ce cas, consultez votre médecin.
· Oubli d'un comprimé en semaine 2:
Prenez le comprimé oublié dès que vous constatez l'oubli, même si cela implique la prise de deux comprimés en même temps. Continuez à prendre les comprimés suivants à l'heure habituelle. L'efficacité contraceptive n'est pas diminuée, et aucune mesure contraceptive supplémentaire n'est nécessaire.
· Oubli d'un comprimé en semaine 3:
Vous pouvez choisir l'une de ces deux possibilités:
1. Prenez le comprimé oublié dès que vous constatez l'oubli, même si cela implique la prise de deux comprimés en même temps. Continuez à prendre les comprimés suivants à l'heure habituelle. Au lieu de respecter la période d'arrêt de 7 jours, commencez la plaquette suivante.
Il est fort probable que vous ayez vos règles à la fin de la seconde plaquette mais vous pouvez aussi présenter des «spottings» (gouttes ou taches de sang) ou des saignements entre les règles au cours de la seconde plaquette.
2. Vous pouvez également arrêter immédiatement de prendre les comprimés de la plaquette en cours et passer directement à la période d'arrêt de 7 jours (notez le jour de votre oubli). Si vous voulez commencer une nouvelle plaquette le jour habituel de votre première prise, raccourcissez la période d'arrêt à moins de 7 jours.
Si vous suivez correctement l'une ou l'autre de ces deux recommandations, vous êtes protégée d'un risque de grossesse.
· Si vous avez oublié de prendre un des comprimés d'une plaquette et n'avez pas eu l'hémorragie de privation (règles) prévue au cours de la période d'arrêt (période sans comprimés), il se peut que vous soyez enceinte.
Contactez votre médecin avant de commencer la plaquette suivante.

Que faire en cas de vomissements ou de diarrhées sévères ?
Si vous vomissez dans les 3 ou 4 heures qui suivent la prise d'un comprimé ou si vous avez une diarrhée sévère, l'absorption des substances actives du comprimé peut ne pas être complète. La situation est identique à un oubli de comprimé.
Après des vomissements ou une diarrhée, prenez un autre comprimé d'une plaquette de réserve dès que possible et si possible dans les 12 heures qui suivent l'heure habituelle de prise.
Si vous ne pouvez pas respecter ce délai ou si plus de 12 heures se sont écoulées, les mêmes consignes que celles données pour les oublis de comprimés s'appliquent. Reportez-vous au paragraphe « Si vous oubliez de prendre JASMINELLE 0,02 mg/3 mg, comprimé pelliculé », page 6.
Ce que vous devez savoir pour retarder vos règles:
Même si ce n'est pas recommandé, vous pouvez retarder vos règles en commençant une nouvelle plaquette de JASMINELLE 0,02 mg/3 mg, comprimé pelliculé sans respecter la période d'arrêt de 7 jours jusqu'à la fin de la seconde plaquette. Il peut se produire des « spottings » (gouttes ou taches de sang) ou des saignements entre les règles au cours de la prise de cette seconde plaquette. Après la période d'arrêt habituelle de 7 jours, commencez la plaquette suivante.
Demandez conseil à votre médecin avant de décider de retarder vos règles.
Ce que vous devez savoir pour décaler le 1er jour des règles:
Si vous prenez les comprimés comme indiqué dans cette notice, vos règles (hémorragie de privation) surviennent pendant la période d'arrêt des comprimés.
Si vous devez changer ce jour, raccourcissez la durée de l'intervalle libre (mais ne le rallongez jamais: 7 jours d'arrêt au maximum !). Par exemple, si votre période d'arrêt commence habituellement le vendredi, et que vous désirez décaler ce jour au mardi (3 jours plus tôt), commencez une nouvelle plaquette 3 jours plus tôt que d'habitude. Si la période d'arrêt est très courte (par exemple 3 jours ou moins), il est possible que vous n'ayez pas d'hémorragie de privation pendant cette période d'arrêt. Des « spottings » (gouttes ou taches de sang) ou des saignements entre les règles peuvent survenir.
Si vous avez un doute sur la conduite à tenir, consultez votre médecin.
Si vous voulez arrêter de prendre JASMINELLE 0,02 mg/3 mg, comprimé pelliculé:
Vous pouvez arrêter JASMINELLE 0,02 mg/3 mg, comprimé pelliculé quand vous le souhaitez. Si vous ne souhaitez pas être enceinte, demandez à votre médecin de vous conseiller d'autres méthodes contraceptives fiables.
Si vous désirez une grossesse, arrêtez de prendre JASMINELLE 0,02 mg/3 mg, comprimé pelliculé et attendez d'avoir vos règles avant d'essayer d'être enceinte. Vous pourrez alors plus facilement calculer la date d'accouchement.
Si vous avez d'autres questions sur l'utilisation de ce produit, consultez votre médecin ou votre pharmacien.
4. QUELS SONT LES EFFETS INDESIRABLES EVENTUELS ?
Description des effets indésirables
Il existe une augmentation du risque de caillots sanguins dans vos veines (thrombo-embolie veineuse [TEV]) ou dans vos artères (thrombo-embolie artérielle [TEA]) chez toutes les femmes qui prennent des contraceptifs hormonaux combinés. Pour plus de précisions sur les différents risques associés à la prise de contraceptifs hormonaux combinés, reportez-vous à la rubrique 2, « Quelles sont les informations à connaître avant d’utiliser JASMINELLE ».
Les effets indésirables suivants ont été reliés à l’utilisation de JASMINELLE 0,02 mg/3 mg, comprimé pelliculé :
Effets indésirables fréquents, observés chez plus d'une femme sur 100 mais moins d'une sur 10 :
· modification de l'humeur,
· maux de tête,
· douleur abdominale (douleurs à l'estomac),
· acné,
· douleur mammaire, augmentation de la taille des seins, sensibilité mammaire, règles douloureuses ou irrégulières,
· prise de poids.
Effets indésirables peu fréquents, observés chez plus d'une femme sur 1000 mais moins d'une sur 100 :
· candidose (mycose),
· herpès,
· réactions allergiques,
· augmentation de l'appétit,
· dépression, nervosité, troubles du sommeil,
· sensation de picotements aux extrémités, étourdissements (vertiges),
· troubles visuels,
· rythme cardiaque irrégulier ou exceptionnellement accélération du rythme,
· caillot (thrombose) dans les poumons (embolie pulmonaire), pression sanguine élevée, pression sanguine basse, migraine, varices,
· mal de gorge,
· nausées, vomissements, inflammation de l'estomac et/ou des intestins, diarrhée, constipation,
· gonflement soudain de la face et/ou des membranes muqueuses (langue ou gorge), et/ou difficulté à avaler ou une urticaire associée à des difficultés pour respirer (angiœdème), perte de cheveux (alopécie), eczéma, démangeaisons, rash, peau sèche, troubles cutanés de type gras (dermite séborrhéique),
· douleur du cou et des membres, crampes musculaires,
· infection de la vessie,
· nodule dans les seins (bénin et cancer), production de lait en dehors d'une grossesse (galactorrhée), kystes des ovaires, bouffées de chaleur, absence de règles, règles très abondantes, sécrétions vaginales, sécheresse vaginale, douleur abdominale basse (douleur pelvienne), frottis cervical douteux (test de dépistage), diminution du désir sexuel,
· rétention d'eau, manque d’énergie, soif excessive, transpiration augmentée,
· perte de poids.
Effets indésirables rares, observés chez plus d'une femme sur 10000 mais moins d'une sur 1000 :
· asthme,
· altération de l’audition,
· érythème noueux (caractérisé par des nodules cutanés rougeâtres et douloureux),
· érythème polymorphe (éruption cutanée avec lésions ou rougeurs en forme de "cible"),
· caillots sanguins dans une veine ou une artère, par exemple :
o dans une jambe ou un pied (thrombose veineuse profonde, TVP)
o dans un poumon (embolie pulmonaire, EP)
o crise cardiaque
o accident vasculaire cérébral (AVC)
o mini-AVC ou symptômes temporaires de type AVC, connus sous le nom d’accident ischémique transitoire (AIT)
o caillots sanguins dans le foie, l’estomac/l’intestin, les reins ou un œil
Le risque d’apparition d’un caillot sanguin peut être plus élevé si vous présentez certains autres facteurs qui augmentent ce risque (voir rubrique 2 pour plus d’informations sur les facteurs augmentant le risque de caillots sanguins et les symptômes d’un caillot sanguin).
Déclaration des effets secondaires
Si vous ressentez un quelconque effet indésirable, parlez-en à votre médecin ou votre pharmacien. Ceci s’applique aussi à tout effet indésirable qui ne serait pas mentionné dans cette notice. Vous pouvez également déclarer les effets indésirables directement via le système national de déclaration : Agence nationale de sécurité du médicament et des produits de santé (ANSM) et réseau des Centres Régionaux de Pharmacovigilance. Site internet : www.ansm.sante.fr. En signalant les effets indésirables, vous contribuez à fournir davantage d’informations sur la sécurité du médicament.
5. COMMENT CONSERVER JASMINELLE 0,02 mg/3 mg, comprimé pelliculé ?
Tenir hors de la portée et de la vue des enfants.
Ne pas utiliser JASMINELLE 0,02 mg/3 mg, comprimé pelliculé après la date de péremption mentionnée sur la boîte.
Pas de précautions particulières de conservation.
Si nécessaire, mises en garde contre certains signes visibles de détérioration
Les médicaments ne doivent pas être jetés au tout à l'égout ou avec les ordures ménagères. Demandez à votre pharmacien ce qu'il faut faire des médicaments inutilisés. Ces mesures permettront de protéger l'environnement.
6. INFORMATIONS SUPPLEMENTAIRES
Liste complète des substances actives et des excipients
Que contient JASMINELLE 0,02 mg/3 mg, comprimé pelliculé ?
Les substances actives sont:
Ethinylestradiol ............................................................................................................................. 0,020 mg
Sous forme d'éthinylestradiol betadex clathrate
Drospirénone ....................................................................................................................................... 3 mg
Pour un comprimé pelliculé.
Les autres composants sont:
Noyau: lactose monohydraté, amidon de maïs, stéarate de magnésium (E 470b),
Pelliculage: hypromellose (E 464), talc (E 553b), dioxyde de titane (E 171), oxyde de fer rouge (E 172).
Forme pharmaceutique et contenu
Qu'est-ce que JASMINELLE 0,02 mg/3 mg, comprimé pelliculé et contenu de l'emballage extérieur ?
Ce médicament se présente sous forme de comprimé pelliculé. Le comprimé est rose pâle, rond, à faces convexes, avec les lettres « DS » gravées dans un hexagone régulier sur l'une des faces. Boîte de 1, 3, 6 ou 13 plaquettes de 21 comprimés.
220 avenue de la recherche
59120 LOOS
220 avenue de la recherche
59120 LOOS
BAYER SCHERING PHARMA AG
13342 BERLIN
ALLEMAGNE
ou
SCHERING GMBH & CO PRODUKTION KG
99427 WEIMAR
ALLEMAGNE
Noms du médicament dans les Etats membres de l'Espace Economique Européen
Ce médicament est autorisé dans les Etats membres de l'Espace Economique Européen sous les noms suivants:
Conformément à la réglementation en vigueur.
Date d’approbation de la notice
La dernière date à laquelle cette notice a été approuvée est le {date}.
AMM sous circonstances exceptionnelles
Sans objet.
Des informations détaillées sur ce médicament sont disponibles sur le site Internet de l’Afssaps (France).
Informations réservées aux professionnels de santé
Sans objet.
Sans objet.
[1] Ces incidences ont été estimées à partir de l’ensemble des données des études épidémiologiques, en s’appuyant sur les risques relatifs liés aux différents CHC en comparaison aux CHC contenant du lévonorgestrel.
[2] Point central de l’intervalle de 5-7 pour 10 000 années-femmes sur la base d’un risque relatif, pour les CHC contenant du lévonorgestrel par rapport à la non-utilisation d’un CHC, d’environ 2,3 à 3,6.