ANSM - Mis à jour le : 17/12/2020
LOVAVULO 20 microgrammes / 100 microgrammes, comprimé pelliculé
Ethinylestradiol/Lévonorgestrel
· Gardez cette notice. Vous pourriez avoir besoin de la relire.
· Si vous avez d’autres questions, interrogez votre médecin ou votre pharmacien.
· Ce médicament vous a été personnellement prescrit. Ne le donnez pas à d’autres personnes. Il pourrait leur être nocif, même si les signes de leur maladie sont identiques aux vôtres.
· Si vous ressentez un quelconque effet indésirable, parlez-en à votre médecin ou votre pharmacien. Ceci s’applique aussi à tout effet indésirable qui ne serait pas mentionné dans cette notice. Voir rubrique 4.
Points importants à connaître concernant les contraceptifs hormonaux combinés (CHC) :
· Ils comptent parmi les méthodes de contraception réversibles les plus fiables lorsqu’ils sont utilisés correctement.
· Ils augmentent légèrement le risque de formation d’un caillot sanguin dans les veines et les artères, en particulier pendant la première année de leur utilisation ou lorsque le contraceptif hormonal combiné est repris après une interruption de 4 semaines ou plus.
· Soyez vigilante et consultez votre médecin si vous pensez présenter les symptômes évocateurs d’un caillot sanguin (voir rubrique 2 « Caillots sanguins »).
1. Qu'est-ce que LOVAVULO 20 microgrammes/ 100 microgrammes, comprimé pelliculé et dans quels cas est-il utilisé ?
2. Quelles sont les informations à connaître avant de prendre> LOVAVULO 20 microgrammes/ 100 microgrammes, comprimé pelliculé ?
3. Comment prendre LOVAVULO 20 microgrammes/ 100 microgrammes, comprimé pelliculé ?
4. Quels sont les effets indésirables éventuels ?
5. Comment conserver LOVAVULO 20 microgrammes/ 100 microgrammes, comprimé pelliculé ?
6. Contenu de l’emballage et autres informations.
LOVAVULO est un contraceptif hormonal oral utilisé pour la prévention de la grossesse.
Chaque comprimé contient deux hormones féminines différentes en petite quantité: le lévonorgestrel et l'éthinylestradiol.
Les contraceptifs oraux contenant deux hormones sont appelés contraceptifs oraux « combinés ».
|
Avant de commencer à utiliser LOVAVULO, vous devez lire les informations concernant les caillots sanguins (thrombose) en rubrique 2. Il est particulièrement important de lire la description des symptômes d’un caillot sanguin – voir rubrique 2, « Caillots sanguins »). Avant de commencer un traitement par LOVAVULO, un interrogatoire sur vos antécédents médicaux et ceux de vos proches sera effectué par votre médecin. Votre pression artérielle sera mesurée et, si nécessaire, selon votre situation personnelle, d’autres examens pourront être demandés. Cette notice indique les situations dans lesquelles vous devez arrêter de prendre LOVAVULO ou les circonstances dans lesquelles l’efficacité contraceptive peut être diminuée. Dans ces cas, vous ne devez pas avoir de rapports sexuels ou alors, vous devez utiliser d’autres méthodes contraceptives non hormonales comme le préservatif ou toute autre barrière mécanique. N’utilisez pas de méthodes naturelles de contraception (mesure de la température, aspect de la glaire cervicale). En effet ces méthodes peuvent ne pas être fiables car LOVAVULO a un effet sur la température corporelle et sur la glaire cervicale. Comme les autres contraceptifs oraux, LOVAVULO ne protège pas contre l’infection par le VIH (SIDA) ni contre les autres maladies sexuellement transmissibles (MST). |
Vous ne devez pas utiliser LOVAVULO si vous êtes dans l’une des situations listées ci-dessous. Si tel est le cas, vous devez en informer votre médecin. Votre médecin discutera avec vous d’autres méthodes de contraception qui seraient plus adaptées.
Ne prenez jamais LOVAVULO 20 microgrammes/ 100 microgrammes, comprimé pelliculé :
· si vous avez (ou avez déjà eu) un caillot dans un vaisseau sanguin d’une jambe (thrombose veineuse profonde [TVP]), d’un poumon (embolie pulmonaire [EP]) ou d’autres organes ;
· si vous vous savez atteinte d’un trouble affectant la coagulation sanguine – par exemple, un déficit en protéine C, un déficit en protéine S, un déficit en antithrombine III, une mutation du facteur V de Leiden ou la présence d’anticorps anti-phospholipides ;
· si vous devez être opérée ou si vous êtes alitée pendant une durée prolongée (voir la rubrique « Caillots sanguins ») ;
· si vous avez déjà eu une crise cardiaque ou un accident vasculaire cérébral (AVC) ;
· si vous avez (ou avez déjà eu) une angine de poitrine (une maladie provoquant des douleurs intenses dans la poitrine et pouvant être le signe précurseur d’une crise cardiaque) ou un accident ischémique transitoire (AIT - symptômes temporaires d’AVC) ;
· si vous avez l’une des maladies suivantes pouvant augmenter le risque de caillot dans les artères :
o diabète, avec atteinte des vaisseaux sanguins ;
o pression artérielle très élevée ;
o taux très élevé de graisses dans le sang (cholestérol ou triglycérides) ;
o maladie appelée hyperhomocystéinémie.
· si vous avez (ou avez déjà eu) un type de migraines appelées « migraines avec aura » ;
· si vous avez (ou avez déjà eu) une affection du foie avec absence de normalisation de votre fonction hépatique ;
· si vous avez (ou avez déjà eu) une tumeur du foie
· si vous avez une hépatite C et que vous prenez des médicaments contenant l’association ombitasvir/paritaprévir/ritonavir, le dasabuvir, le glécaprévir/pibrentasvir et le sofosbuvir/velpatasvir/voxilaprévir (voir aussi rubrique « Autres médicaments et LOVAVULO »).
· si vous avez des antécédents ou une suspicion de cancer du sein ou des organes génitaux ;
· si vous avez des saignements vaginaux inexpliqués ;
· si vous êtes allergique (hypersensible) à l’éthinylestradiol ou au lévonorgestrel, ou à l’un des composants contenus dans ce médicament. Ceci peut se manifester par des démangeaisons, une éruption cutanée ou un gonflement.
Avertissements et précautions
Dans quels cas devez-vous contacter votre médecin ?
Consultez un médecin de toute urgence
si vous remarquez de possibles signes d’un caillot sanguin, qui pourraient indiquer que vous avez un caillot sanguin dans une jambe (thrombose veineuse profonde), que vous avez un caillot sanguin dans un poumon (embolie pulmonaire) ou que vous faites une crise cardiaque ou un AVC (voir la rubrique « Caillots sanguins » ci-dessous).
Pour la description des symptômes de ces effets indésirables graves, reportez-vous à la rubrique « Comment reconnaître un caillot sanguin ».
Comme avec tout contraceptif oral combiné, dans certains cas, vous devez prendre des précautions particulières pendant l'utilisation de LOVAVULO. Il peut être nécessaire d'être suivie régulièrement par votre médecin.
Si le problème apparaît ou s’aggrave pendant l’utilisation de LOVAVULO, vous devez également en informer votre médecin.
Si vous êtes dans l’une des situations suivantes, informez-en votre médecin.
· en cas de survenue ou antécédent de cancer du sein chez un parent proche ;
· si vous avez une affection du foie ou de la vésicule biliaire ;
· si vous êtes diabétique ;
· en cas de dépression ;
· si vous êtes atteinte de la maladie de Crohn ou de recto-colite hémorragique (maladies inflammatoires chroniques des intestins) ;
· si vous avez un syndrome hémolytique et urémique (SHU) (un trouble de la coagulation sanguine qui entraine une défaillance des reins) ;
· si vous avez une drépanocytose (une maladie héréditaire touchant les globules rouges)
· si avez des taux élevés de graisses dans le sang (hypertriglycéridémie) ou des antécédents familiaux de ce trouble. L’hypertriglycéridémie a été associée à une augmentation du risque de pancréatite (inflammation du pancréas) ;
· si vous devez être opérée ou si vous êtes alitée pendant une durée prolongée (reportez-vous à la rubrique 2, « Caillots sanguins ») ;
· si vous venez juste d’accoucher, vous êtes exposée à un risque augmenté de caillots sanguins. Vous devez demander à votre médecin combien de temps après l’accouchement vous pouvez commencer à prendre LOVAVULO;
· si vous avez une inflammation des veines situées sous la peau (thrombophlébite superficielle) ;
· si vous avez des varices ;
· si vous êtes épileptique (voir rubrique Prise d’autres médicaments) ;
· si vous avez un lupus éryhtémateux disséminé (LED, une maladie du système immunitaire) ;
· si vous avez présenté l’une des pathologies suivantes lors d’une grossesse ou la prise antérieure d’un traitement hormonal : perte auditive, maladie du sang appelée porphyrie, herpès gestationnel (éruption de vésicules sur la peau pendant la grossesse), chorée de Sydenham (maladie des nerfs avec survenue de mouvements corporels brusques non contrôlées) ;
· en cas d’antécédent ou de survenue de chloasma (tâches brun doré en particulier sur le visage, appelées « masque de grossesse »). Dans ce cas, évitez toute exposition directe au soleil ou au soleil ou aux rayons ultraviolets ;
· si vous développez des symptômes d’angio-œdème, tels qu’un gonflement du visage, de la langue et/ou de la gorge et/ou des difficultés à avaler ou un urticaire avec éventuellement des difficultés à respirer, consultez immédiatement votre médecin. Les produits contenant des œstrogènes peuvent déclencher ou aggraver les symptômes d’un angio-œdème héréditaire ou acquis.
CAILLOTS SANGUINS
L’utilisation d’un contraceptif oral combiné tel que LOVAVULO augmente le risque d’apparition d’un caillot sanguin en comparaison à une non-utilisation. Dans de rares cas, un caillot sanguin peut bloquer des vaisseaux sanguins et provoquer de graves problèmes.
Les caillots sanguins peuvent se former :
· dans les veines (on parle alors de « thrombose veineuse » ou de « thrombo-embolie veineuse » [TEV]) ;
· dans les artères (on parle alors de « thrombose artérielle » ou de « thrombo-embolie artérielle » [TEA]).
Le rétablissement, suite à des caillots sanguins, n’est pas toujours complet. Dans de rares cas, ils peuvent entraîner des séquelles graves et durables et, dans de très rares cas, ils peuvent être fatals.
Il est important de garder à l’esprit que le risque global de caillot sanguin dû à LOVAVULO est faible.
COMMENT RECONNAÎTRE UN CAILLOT SANGUIN
Consultez un médecin de toute urgence si vous remarquez l’un des signes ou symptômes suivants.
|
Présentez-vous l’un de ces signes ? |
Il peut éventuellement s’agir de : |
|
· gonflement d’une jambe ou le long d’une veine de la jambe ou du pied, en particulier s’il s’accompagne de : o douleur ou sensibilité dans la jambe, pouvant n’être ressentie qu’en position debout ou lors de la marche o chaleur dans la jambe affectée o changement de couleur de la peau de la jambe, devenant p. ex. pâle, rouge ou bleue |
Thrombose veineuse profonde |
|
· apparition soudaine et inexpliquée d’un essoufflement ou d’une respiration rapide · toux soudaine sans cause apparente, avec parfois des crachats de sang · douleur aiguë dans la poitrine, qui peut s’accentuer en cas de respiration profonde · étourdissements ou sensations vertigineuses sévères · battements de cœur rapides ou irréguliers · douleur intense dans l’estomac En cas de doute, consultez un médecin car certains de ces symptômes, comme la toux ou l’essoufflement, peuvent être pris à tort pour les signes d’une maladie moins sévère telle qu’une infection respiratoire (p.ex. un simple rhume). |
Embolie pulmonaire
|
|
Symptômes apparaissant le plus souvent dans un seul œil : · perte immédiate de la vision ou vision trouble sans douleur pouvant évoluer vers une perte de la vision |
Thrombose veineuse rétinienne (caillot sanguin dans l’œil)
|
|
· douleur, gêne, pression, lourdeur dans la poitrine ; · sensation d’oppression ou d’encombrement dans la poitrine, le bras ou sous le sternum ; · sensation d’encombrement, d’indigestion ou de suffocation ; · sensation de gêne dans le haut du corps irradiant vers le dos, la mâchoire, la gorge, le bras et l’estomac ; · transpiration, nausées, vomissements ou sensations vertigineuses ; · faiblesse, anxiété ou essoufflement extrêmes ; · battements de cœur rapides ou irréguliers |
Crise cardiaque
|
|
· apparition soudaine d’une faiblesse ou d’un engourdissement au niveau du visage, d’un bras ou d’une jambe, en particulier d’un côté du corps ; · apparition soudaine d’une confusion, de difficultés à parler ou à comprendre ; · apparition soudaine de difficultés à voir d’un œil ou des deux yeux ; · apparition soudaine de difficultés à marcher, de sensations vertigineuses, d’une perte d’équilibre ou de coordination ; · maux de tête soudains, sévères ou prolongés, sans cause connue ; · perte de conscience ou évanouissement avec ou sans crise convulsive. Parfois, les symptômes de l’AVC peuvent être de courte durée, avec un rétablissement presque immédiat et complet, mais vous devez tout de même consulter un médecin de toute urgence car vous pourriez être exposée au risque d’un nouvel AVC. |
Accident vasculaire cérébral (AVC)
|
|
· gonflement et coloration légèrement bleutée d’une extrémité ; · douleur intense dans l’estomac (« abdomen aigu ») |
Caillots sanguins bloquant d’autres vaisseaux sanguins
|
CAILLOTS SANGUINS DANS UNE VEINE
Que peut-il se passer si un caillot sanguin se forme dans une veine ?
· Un lien a été établi entre l’utilisation de contraceptifs hormonaux combinés et l’augmentation du risque de caillots sanguins dans les veines (thrombose veineuse). Cependant, ces effets indésirables sont rares. Le plus souvent, ils surviennent pendant la première année d’utilisation d’un contraceptif hormonal combiné.
· Lorsqu’un caillot sanguin se forme dans une veine d’une jambe ou d’un pied, il peut provoquer une thrombose veineuse profonde (TVP).
· Si le caillot sanguin migre de la jambe vers le poumon, il peut provoquer une embolie pulmonaire.
· Dans de très rares cas, un caillot peut se former dans une veine d’un autre organe, comme l’œil (thrombose veineuse rétinienne).
À quel moment le risque d’apparition d’un caillot sanguin dans une veine est-il le plus élevé ?
Le risque d’apparition d’un caillot sanguin dans une veine est maximal pendant la première année d’utilisation d’un contraceptif hormonal combiné pris pour la première fois. Le risque peut également être augmenté lorsque vous recommencez à prendre un contraceptif hormonal combiné (le même produit ou un produit différent) après une interruption de 4 semaines ou plus.
Après la première année, le risque diminue mais reste toujours légèrement plus élevé que si vous n’utilisiez pas de contraceptif hormonal combiné.
Lorsque vous arrêtez de prendre LOVAVULO, le risque d’apparition de caillot sanguin revient à la normale en quelques semaines.
Quel est le risque d’apparition d’un caillot sanguin ?
Le risque dépend de votre risque de base de TEV et du type de contraceptif hormonal combiné que vous prenez.
Le risque global de caillot sanguin dans une jambe ou un poumon (TVP ou EP) associé à LOVAVULO est faible.
- Sur 10 000 femmes qui n’utilisent aucun contraceptif hormonal combiné et qui ne sont pas enceintes, environ 2 développeront un caillot sanguin sur une période d’un an.
- Sur 10 000 femmes qui utilisent un contraceptif hormonal combiné contenant du lévonorgestrel, de la noréthistérone ou du norgestimate, environ 5 à 7 développeront un caillot sanguin sur une période d’un an.
- Le risque d’apparition d’un caillot sanguin variera selon vos antécédents médicaux personnels (voir « Facteurs augmentant le risque de caillot sanguin » ci-dessous).
|
|
Risque d’apparition d’un caillot sanguin sur une période d’un an |
|
Femmes qui n’utilisent pas de contraceptif hormonal combiné (pilule/patch/anneau) et qui ne sont pas enceintes |
Environ 2 femmes sur 10 000
|
|
Femmes qui utilisent une pilule contraceptive hormonale combinée contenant du lévonorgestrel, de la noréthistérone ou du norgestimate |
Environ 5 à 7 femmes sur 10 000
|
|
Femmes utilisant LOVAVULO |
Environ 5 à 7 femmes sur 10 000 |
Facteurs augmentant le risque de caillot sanguin dans une veine
Le risque de caillot sanguin associé à LOVAVULO est faible mais certaines situations peuvent augmenter ce risque. Le risque sera plus élevé :
· si vous avez un surpoids important (indice de masse corporelle [IMC] supérieur à 30 kg/m2) ;
· si l’un des membres de votre famille proche a eu un caillot sanguin dans une jambe, un poumon ou un autre organe à un âge relativement jeune (p. ex. avant l’âge de 50 ans). Si tel est le cas, vous pourriez être atteinte d’un trouble héréditaire de la coagulation sanguine ;
· si vous devez être opérée ou si vous êtes alitée pendant une période prolongée en raison d’une blessure ou d’une maladie, ou si votre jambe est immobilisée (p. ex. plâtre). Il pourra être nécessaire d’interrompre l’utilisation de LOVAVULO plusieurs semaines avant l’opération chirurgicale et/ou tant que votre mobilité est réduite. Si vous devez arrêter d’utiliser LOVAVULO, demandez à votre médecin à quel moment vous pourrez recommencer à l’utiliser.
· avec l’âge (en particulier au-delà de 35 ans) ;
· si vous avez accouché dans les semaines précédentes.
Plus vous cumulez ces situations, plus le risque d’apparition d’un caillot sanguin augmente.
Les voyages en avion (de plus de 4 heures) peuvent augmenter temporairement le risque de caillot sanguin, en particulier si vous présentez déjà certains des autres facteurs listés.
Il est important de prévenir votre médecin si vous êtes concernée par l’une de ces situations, même si vous n’en êtes pas certaine. Votre médecin pourra décider qu’il est nécessaire d’arrêter le traitement par LOVAVULO.
Si l’une des situations ci-dessus évolue pendant la période où vous utilisez LOVAVULO, par exemple si un membre de votre famille proche développe une thrombose sans raison connue ou si vous prenez beaucoup de poids, parlez-en à votre médecin.
CAILLOTS SANGUINS DANS UNE ARTÈRE
Que peut-il se passer si un caillot sanguin se forme dans une artère ?
Comme un caillot sanguin dans une veine, un caillot dans une artère peut provoquer de graves problèmes. Par exemple, il peut provoquer une crise cardiaque ou un accident vasculaire cérébral (AVC).
Facteurs augmentant le risque de caillot sanguin dans une artère
Il est important de noter que le risque de crise cardiaque ou d’AVC lié à l’utilisation de LOVAVULO est très faible mais peut augmenter :
· avec l’âge (au-delà de 35 ans) ;
· si vous fumez. Lors de l’utilisation d’un contraceptif hormonal combiné tel que LOVAVULO, il est conseillé d’arrêter de fumer. Si vous ne parvenez pas à arrêter de fumer et si vous êtes âgée de plus de 35 ans, votre médecin pourra vous conseiller d’utiliser une méthode de contraception différente ;
· si vous êtes en surpoids ;
· si vous avez une pression artérielle élevée ;
· si un membre de votre famille proche a déjà eu une crise cardiaque ou un AVC à un âge relativement jeune (avant l’âge de 50 ans). Si tel est le cas, le risque que vous ayez une crise cardiaque ou un AVC pourrait également être plus élevé;
· si vous, ou un membre de votre famille proche, avez un taux de graisses élevé dans le sang (cholestérol ou triglycérides) ;
· si vous avez des migraines, en particulier des migraines avec aura ;
· si vous avez des problèmes cardiaques (maladie de la valve cardiaque, trouble du rythme appelé fibrillation auriculaire) ;
· • si vous êtes diabétique.
Si vous cumulez plusieurs de ces situations ou si l’une d’entre elles est particulièrement sévère, le risque d’apparition d’un caillot sanguin peut être encore plus élevé.
Si l’une des situations ci-dessus évolue pendant la période où vous utilisez LOVAVULO, par exemple si vous commencez à fumer, si un membre de votre famille proche développe une thrombose sans raison connue ou si vous prenez beaucoup de poids, parlez-en à votre médecin.
LOVAVULO et cancer
Le cancer du sein est plus fréquent chez les femmes qui prennent un contraceptif oral sans que l’on sache si ce traitement en est la cause. Il n’est cependant pas établi si cette différence est due au contraceptif oral. En effet, il est possible que les femmes prenant un contraceptif oral soient examinées plus souvent par leur médecin attentivement. Cette différence disparaît progressivement après l’arrêt du contraceptif oral.
Il est important d’examiner régulièrement vos seins. En cas de survenue d’une grosseur suspecte, contactez votre médecin.
Dans de rares cas, des tumeurs bénignes du foie et dans de plus rares cas des tumeurs malignes du foie ont été observées chez des femmes prenant un contraceptif oral. Consultez votre médecin si vous présentez subitement des maux de ventre intenses.
Saignements entre les règles
Des saignements entre les règles, en dehors de la semaine d’interruption, peuvent survenir dans les premiers mois d’un traitement par LOVAVULO. Si ces saignements persistent plusieurs mois ou s’ils apparaissent au bout de plusieurs mois d’utilisation, votre médecin doit en rechercher la cause.
Que faire si vous n’avez pas de saignement pendant la période d’arrêt entre deux plaquettes ?
Si vous avez pris correctement tous les comprimés, si vous n’avez pas eu de vomissements ou de diarrhées sévères et si vous n’avez pas pris d’autres médicaments, il est peu probable que vous soyez enceinte.
Si vous n’avez pas vos règles deux fois de suite, il se peut que vous soyez enceinte. Consultez immédiatement votre médecin. Ne commencez pas la plaquette suivante tant que vous n’êtes pas certaines de ne pas être enceinte.
Troubles psychiatriques
Certaines femmes qui utilisent des contraceptifs hormonaux dont LOVAVULO ont fait état d’une dépression ou d’un état dépressif. La dépression peut être grave et peut parfois donner lieu à des idées suicidaires. Si vous présentez des changements d’humeur et des symptômes dépressifs, sollicitez les conseils de votre médecin dès que possible.
Autres médicaments et LOVAVULO 20 microgrammes/ 100 microgrammes, comprimé pelliculé
Indiquez toujours au médecin qui vous prescrit LOVAVULO les autres médicaments ou préparations à base de plantes que vous prenez déjà.
Indiquez également à tout autre médecin ou dentiste qui vous prescrira un autre médicament (ou à votre pharmacien) que vous utilisez LOVAVULO. Ils vous indiqueront si vous devez prendre des mesures contraceptives complémentaires (par exemple préservatifs) et si nécessaires, pendant quelle durée.
Certains médicaments peuvent :
- avoir une influence sur les taux sanguins de LOVAVULO
- diminuer la capacité de LOVAVULO à prévenir une grossesse
- entraîner des saignements inattendus
Ils incluent :
- des médicaments utilisés dans le traitement de :
o l’épilepsie (ex : primidone, phénytoine, phénobarbital, carbamazépine, oxcarbazépine, topiramate, felbamate) ;
o la tuberculose (ex : rifampicine) ;
o les infections par le HIV ou par le virus de l’hépatite C (inhibiteurs de la protéase et inhibiteurs non nucléosidiques de la transcriptase inverse tels que ritonavir, névirapine, efavirenz) ;
o infections fungiques (griséofulvine) ;
o l’arthrite, l’arthrose (etoricoxib) ;
o l’hypertension artérielle pulmonaire (bosentan) ;
- le millepertuis.
LOVAVULO peut aussi agir sur l’efficacité d’autres médicaments tels que :
- les médicaments contenant de la ciclosporine ;
- un anti-épileptique : la lamotrigine, (cela peut augmenter la fréquence des crises d’épilepsie) ;
- la théophylline (utilisée dans les troubles respiratoires) ;
- la tizanidine (utilisée dans le traitement des douleurs musculaires et/ou des crampes musculaires) ;
- le midazolam (utilisés pour les troubles du sommeil et pour réduire l’anxiété).
N’utilisez pas LOVAVULO si vous avez une hépatite C et que vous prenez des médicaments contenant l’association ombitasvir/paritaprévir/ritonavir, le dasabuvir, le glécaprévir/pibrentasvir et le sofosbuvir/velpatasvir/voxilaprévir, car ces produits pourraient entrainer une augmentation des résultats de paramètres hépatiques des tests sanguins (augmentation des enzymes du foie ALAT).
Votre médecin vous prescrira une autre méthode contraceptive avant le début du traitement par ces médicaments.
LOVAVULO peut être redémarré environ 2 semaines après la fin de ce traitement (voir la rubrique « N’utilisez pas LOVAVULO ».
Si vous devez effectuer un examen sanguin, informez votre médecin ou l’équipe du laboratoire que vous prenez une contraception orale, ces produits pouvant modifier les résultats de certains examens.
Grossesse et allaitement
Grossesse
Si vous êtes enceinte, vous ne devez pas prendre LOVAVULO. Si vous tombez enceinte pendant le traitement par LOVAVULO, arrêtez le traitement et consultez votre médecin. Si vous souhaitez tomber enceinte, vous pouvez arrêter de prendre LOVAVULO à n’importe quel moment.
Allaitement
En cas d’allaitement, l’utilisation de LOVAVULO est en général déconseillée. Consultez votre médecin si vous désirez prendre un contraceptif oral pendant l’allaitement.
Conduite de véhicules et utilisation de machines
Il n’y a pas de données suggérant que LOVAVULO affecte la conduite ou l’utilisation des machines.
LOVAVULO 20 microgrammes/ 100 microgrammes, comprimé pelliculé contient du lactose
L’utilisation de ce médicament est déconseillée chez les patients présentant une intolérance au galactose, un déficit en lactase de Lapp ou un syndrome de malabsorption du glucose ou du galactose (maladie héréditaires rares).
3. COMMENT PRENDRE LOVAVULO 20 microgrammes/ 100 microgrammes, comprimé pelliculé ?
Prenez un comprimé de LOVAVULO tous les jours si nécessaire avec un peu d'eau. Vous pouvez prendre les comprimés avec ou sans nourriture mais prenez toujours les comprimés à la même heure de la journée.
La plaquette contient 21 comprimés. Près de chaque comprimé est imprimé le jour de la semaine auquel vous devez le prendre. Par exemple si vous commencez le mercredi, prenez le comprimé près duquel figure la mention « MER ». Suivez la direction de la flèche sur la plaquette jusqu'à la prise des 21 comprimés.
Ensuite, vous ne prendrez plus de comprimés pendant 7 jours. Une hémorragie de privation doit apparaître pendant cet intervalle, généralement le 2ème ou le 3ème jour après la prise du dernier comprimé.
Commencez la plaquette suivante dès le 8ème jour après le jour de prise du dernier comprimé (c'est-à-dire après l'arrêt pendant les 7 jours), même si l'hémorragie de privation persiste. Ceci signifie que vous devez toujours commencer la plaquette suivante le même jour de la semaine et avoir une hémorragie de privation les mêmes jours tous les mois.
L'utilisation correcte de LOVAVULO, garantit une contraception pendant les 7 jours durant lesquels vous ne prenez pas de comprimés.
Quand commencez la première plaquette ?
· Si vous n'avez pas pris de contraception hormonale au cours du mois précédent:
Commencez LOVAVULO le premier jour du cycle c'est-à-dire le premier jour des règles. Si vous commencez LOVAVULO le 1er jour de vos règles, vous êtes immédiatement protégée. Vous pouvez aussi commencer LOVAVULO entre le 2ème et le 5ème jour de votre cycle, mais alors vous devrez utiliser une autre méthode de contraception, comme les préservatifs, pendant les 7 premiers jours.
· Si vous preniez un autre contraceptif hormonal combiné (contraceptif oral combiné, anneau vaginal, dispositif transdermique):
Commencez LOVAVULO de préférence le jour suivant la prise du dernier comprimé actif du contraceptif oral combiné précédent ou au plus tard le jour suivant la période habituelle d'arrêt des comprimés (ou encore après le dernier comprimé inactif du contraceptif oral combiné précédent). Pour prendre le relais d'un anneau vaginal ou d'un dispositif transdermique, suivez l'avis de votre médecin.
· Relais d'une méthode contraceptive contenant un progestatif seul (pilule microdosée, forme injectable, implant ou dispositif intra-utérin délivrant un progestatif):
Vous pouvez prendre le relais de la pilule microdosée le jour que vous souhaitez (le jour du retrait pour le relais de l'implant et du dispositif intra-utérin et pour le contraceptif injectable le jour où la nouvelle injection était prévue) mais dans tous ces cas vous devez utiliser une autre méthode de contraception, comme les préservatifs, pendant les 7 premiers jours.
· Après une interruption de grossesse:
Demandez conseil à votre médecin.
· Après la naissance d'un enfant:
Commencez à prendre LOVAVULO au moins 21 à 28 jours après l'accouchement. Si vous commencez après le 28ème jour, vous devrez utiliser une autre méthode de contraception, comme les préservatifs, pendant les 7 premiers jours.
Toutefois, si vous avez déjà eu des rapports sexuels, il faut écarter toute probabilité de grossesse avant de commencer à utiliser LOVAVULO ou attendre vos premières règles.
· Suivez les indications de votre médecin si vous ne savez pas quand démarrer votre contraception.
Si vous allaitez et que vous voulez prendre LOVAVULO après la naissance du bébé, veuillez lire la rubrique « Allaitement ».
Demandez conseil à votre médecin si vous ne savez pas exactement quand démarrer votre contraception.
Si vous avez pris plus de LOVAVULO 20 microgrammes/ 100 microgrammes, comprimé pelliculé que vous n’auriez dû :
Aucune conséquence grave n'a été rapportée suite à un surdosage par LOVAVULO.
Le surdosage peut se manifester par des signes digestifs (nausées ou des vomissements) et, chez les jeunes filles, par de petits saignements vaginaux.
Si vous avez pris plus de comprimés de LOVAVULO que vous n’auriez dû ou si vous découvrez qu’un enfant a pris des comprimés, consultez votre médecin ou votre pharmacien.
Si vous oubliez de prendre LOVAVULO 20 microgrammes/ 100 microgrammes, comprimé pelliculé :
· Vous avez dépassé de moins de 12 heures l'heure de la prise habituelle:
L'efficacité contraceptive n'est pas diminuée. Prenez immédiatement le comprimé oublié puis suivez le rythme habituel de vos prises.
· Vous avez dépassé de plus de 12 heures l'heure de la prise habituelle:
La contraception n'est plus assurée. Le risque de grossesse est d'autant plus élevé que le nombre de comprimé oublié est important.
Le risque de grossesse est plus grand si vous avez oublié de prendre les comprimés en début ou à la fin de la plaquette. Dans ce cas, vous devez procéder de la façon suivante.
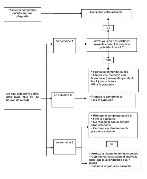
· Oubli de plus d'1 comprimé de la plaquette en cours:
Contacter votre médecin.
· Oubli d'1 seul comprimé pendant la 1ère semaine:
Prenez immédiatement le comprimé oublié, même si vous devez prendre 2 comprimés en même temps. Continuez ensuite à prendre les comprimés comme d'habitude. Vous devrez toutefois utiliser une autre méthode de contraception, comme les préservatifs, pendant les 7 jours suivants. Il y a un risque de grossesse si vous avez eu des rapports sexuels pendant la semaine précédant l'oubli de la pilule. Contacter votre médecin dans ce cas.
· Oubli d'1 seul comprimé pendant la 2ème semaine:
Prenez immédiatement le comprimé oublié, même si vous devez prendre 2 comprimés en même temps. Continuez ensuite à prendre les comprimés comme d'habitude. L'effet contraceptif est encore assuré, aucune autre mesure de contraception n'est nécessaire.
· Oubli d'1 seul comprimé pendant la 3ème semaine:
Vous avez le choix entre deux possibilités:
1. Prenez immédiatement le comprimé oublié, même si vous devez prendre 2 comprimés en même temps. Continuez ensuite de prendre les comprimés comme d'habitude. Ne respectez pas la période sans comprimés et commencez directement à prendre le premier comprimé de la plaquette suivante.
Vous n'aurez probablement pas d'hémorragie de privation mais des spottings (gouttes ou taches de sang) ou des saignements entre les règles sont possibles pendant la prise des comprimés de la deuxième plaquette.
2. Arrêtez immédiatement la plaquette en cours et arrêtez de prendre des comprimés pendant 7 jours (notez le jour où vous avez oublié de prendre le comprimé). Si vous voulez commencez ensuite une nouvelle plaquette le jour habituel de démarrage de votre plaquette, réduisez la période sans comprimés à moins de 7 jours.
Si vous suivez ces recommandations vous êtes protégée d'un risque de grossesse.
· Si vous avez oublié de prendre des comprimés de la plaquette et que vous n'avez pas vos règles dans la période sans comprimés, il se peut que vous soyez enceinte. Vous devez contacter votre médecin avant de commencer une nouvelle plaquette.
Le diagramme suivant décrit la démarche à suivre si vous avez oubliez de prendre un comprimé :

En cas de vomissements ou de diarrhée sévère
Si vous vomissez dans les 3 ou 4 heures qui suivent la prise d'un comprimé ou si vous avez une diarrhée sévère, l'absorption du comprimé peut ne pas être complète. La situation est identique à un oubli de comprimé. Après des vomissements ou une diarrhée, prenez un autre comprimé d'une plaquette de réserve dès que possible et si possible dans les 12 heures qui suivent l'heure habituelle de prise. Si vous ne pouvez pas respecter ce délai ou si plus de 12 heures se sont écoulées, les mêmes consignes que celles données pour les oublis de comprimés de plus de 12 heures s'appliquent. Reportez-vous au paragraphe « Si vous oubliez de prendre LOVAVULO 20 microgrammes/100 microgrammes, comprimé pelliculé ».
Si vous voulez décaler vos règles
Même s'il n'est pas recommandé de le faire, il est possible de retarder ses règles en commençant immédiatement une nouvelle plaquette sans respecter la période sans comprimés. Vous pouvez continuer ainsi jusqu'à la fin de la deuxième plaquette. Pendant la prise des comprimés de la deuxième plaquette, des spottings (gouttes ou taches de sang) ou des saignements entre les règles sont possibles. Commencez ensuite à prendre les comprimés de la plaquette suivante après la période habituelle de 7 jours sans comprimés.
N'hésitez pas à demander avis à votre médecin avant d'entreprendre de décaler vos règles.
Si vous voulez modifier le jour de la semaine correspondant à votre 1er jour de règles
Si vous prenez les comprimés en suivant correctement les instructions, vos règles doivent commencer pendant la période sans prise de comprimés. Si vous devez changer ce jour, vous pouvez le faire en réduisant la durée de la période sans comprimés (ne jamais prolonger la période habituelle sans comprimés !). Par exemple, si la période habituelle sans comprimés commence le vendredi et que vous voulez qu'elle commence 3 jours avant, c'est-à-dire le mardi, vous devez commencer à prendre les comprimés de la plaquette suivante 3 jours plus tôt que d'habitude. Si la période sans comprimés est courte (3 jours ou moins), il n'y aura peut-être pas d'hémorragie de privation mais des spottings (gouttes ou taches de sang) ou des saignements entre les règles sont possibles pendant la prise des comprimés de la plaquette suivante.
Si vous n'êtes pas sûre de la façon de procéder, demandez conseil à votre médecin.
Si vous arrêtez de prendre LOVAVULO 20 microgrammes/ 100 microgrammes, comprimé pelliculé :
Vous pouvez arrêter LOVAVULO quand vous voulez. Si vous ne voulez pas être enceinte, demander à votre médecin de vous conseiller d'autres méthodes contraceptives fiables. Si vous désirez une grossesse, arrêtez de prendre LOVAVULO et attendez d'avoir vos règles avant de commencer à essayer d'être enceinte. Vous pourrez alors plus facilement calculer la date d'accouchement.
Si vous avez d'autres questions concernant l'utilisation de LOVAVULO demandez conseil à votre médecin ou à votre pharmacien.
4. QUELS SONT LES EFFETS INDESIRABLES EVENTUELS ?
Si vous ressentez un quelconque effet indésirable, en particulier si l’effet est sévère et persistant, ou si vous remarquez une modification de votre état de santé qui pourrait selon vous être due à LOVAVULO, informez-en votre médecin.
Il existe une augmentation du risque de caillots sanguins dans les veines (thrombo-embolie veineuse [TEV]) ou dans les artères (thrombo-embolie artérielle [TEA]) chez toutes les femmes qui prennent des contraceptifs hormonaux combinés.Pour plus de précisions sur les différents risques associés à la prise de contraceptifs hormonaux combinés, reportez-vous à la rubrique 2, « Quelles sont les informations à connaître avant d’utiliser LOVAVULO ».
Ci-dessous la liste des effets indésirables en lien avec l’utilisation de LOVAVULO :
Très fréquent (plus de 1 patient traité sur 10) :
- maux de tête (y compris les migraines)
- petites pertes sanglantes et des saignements entre les règles
Fréquent (plus de 1 patient traité sur 10)
- variations de l’humeur, y compris dépression, modifications du désir sexuel (libido)
- inflammation vaginale, y compris infection fongique (candidose)
- nervosité, somnolence, vertiges
- douleur abdominale (douleurs à l’estomac)
- nausées, vomissements, douleur abdominale
- accumulation de liquide dans les tissus (œdème)
- acné
- douleur des seins, tension des seins, augmentation du volume des seins, sécrétions des glandes mammaires, douleur menstruelle, modification du volume des saignements menstruels, augmentation des sécrétions vaginales, absence de saignement menstruel
- modification du poids (augmentation ou diminution)
Peu fréquent (plus de 1 patient traité sur 100)
- troubles de l’appétit (augmentation ou diminution)
- crampes abdominales, flatulence
- éruption cutanée, plaques de coloration brun-jaune sur le visage (chloasma), pouvant être persistantes, hyperpilosité, perte de cheveux
- augmentation de la pression artérielle, modification des concentrations sanguines des lipides, incluant l’hypertriglycéridémie
- augmentation de la glycémie, c'est-à-dire du taux de sucre dans le sang (intolérance au glucose)
Rare (plus de 1 patient traité sur 1 000)
- réaction allergique sévère incluant rash, démangeaisons ou urticaire, gonflement du visage, de la langue ou de la gorge pouvant entrainer des difficultés à respirer et à avaler
- jaunissement de la peau ou du blanc des yeux en raison de l’obstruction du canal biliaire (ictère cholestatique)
- réaction allergique avec démangeaison et douleur de la peau
- intolérance aux lentilles de contact
- érythème noueux (caractérisé par des nodules rouges et douloureux de la peau)
- diminution des taux d’acide folique du sang (les taux sanguins d’acide folique peuvent diminuer avec la contraception. Dans le cas où vous tomberiez enceinte peu de temps après l’arrête de la contraception orale, une diminution des taux d’acide folique dans le sang peut avoir un impact clinique)
Très rare (plus de 1 patient traité sur 10 000)
- cancer des cellules du foie (avec des symptômes tels qu’un gonflement de l’abdomen, une perte de poids, une anomalie des fonctions hépatiques détectables lors de tests sanguins, jaunisse)
- rash sévère (érythème multiforme)
Les effets suivants ont également été associés à l’utilisation d’un contraceptif oral combiné :
Non connu : la fréquence ne peut être estimée sur la base des données disponibles
- inflammation du nerf optique (névrite optique), thrombose dans les vaisseaux sanguins de l'œil (thrombose vasculaire rétinienne qui peut causer un flou ou une perte soudaine de la vision dans tout ou partie d'un œil)
- inflammation du pancréas (pancréatite), avec augmentation des triglycérides vue dans les tests sanguins
- la manifestation d’une inflammation du gros intestin en raison de l'approvisionnement en sang insuffisant; les symptômes comprennent des douleurs à l'estomac, la diarrhée, la fièvre et des saignements du rectum (colite ischémique)
- lésions du foie (y compris l'inflammation du foie (hépatite) ou un dysfonctionnement du foie avec des signes tels que des douleurs abdominales sévères ou des changements dans la fonction du foie vus dans les tests sanguins)
- trouble sanguin particulier qui conduit à des dommages aux reins (syndrome hémolytique et urémique, avec des signes tels qu'une réduction de la production d'urine, sang dans les urines, faible nombre de globules rouges, nausées, vomissements, confusion et diarrhée)
- aggravation d'un trouble du système immunitaire (lupus érythémateux systémique)
- aggravation d'un trouble métabolique avec une chute de la production de l'hémoglobine (porphyrie)
- aggravation d’une chorée de Sydenham (maladie des nerfs dans laquelle des mouvements brusques du corps se produisent)
- inflammation du côlon ou d'autres parties de l'intestin (avec des signes tels qu’une diarrhée sanglante, des douleurs lors du passage des selles, des douleurs dans l'abdomen) (maladie de Crohn, la colite ulcéreuse)
- aggravation de varices
- affection de la vésicule biliaire, y compris calculs
- éruption de vésicules pendant une grossesse antérieure (herpès gestationnel)
- troubles particuliers de l’audition (otosclérose)
- aggravation d’une dépression.
Effets indésirables graves
Consultez immédiatement un médecin, si vous développez l’un des symptômes d’angio-oedème tels qu’un gonflement du visage, de la langue et/ou de la gorge et/ou des difficultés à avaler ou un urticaire avec éventuellement des difficultés à respirer (voir aussi « Avertissements et précautions »).
Déclaration des effets secondaires
Si vous ressentez un quelconque effet indésirable, parlez-en à votre médecin, votre pharmacien ou à votre infirmier/ère. Ceci s’applique aussi à tout effet indésirable qui ne serait pas mentionné dans cette notice. Vous pouvez également déclarer les effets indésirables directement via le système national de déclaration : Agence nationale de sécurité du médicament et des produits de santé (ANSM) et réseau des Centres Régionaux de Pharmacovigilance - Site internet: www.signalement-sante.gouv.fr
En signalant les effets indésirables, vous contribuez à fournir davantage d’informations sur la sécurité du médicament.
5. COMMENT CONSERVER LOVAVULO 20 microgrammes/ 100 microgrammes, comprimé pelliculé ?
Tenir ce médicament hors de la vue et de la portée des enfants.
N’utilisez pas ce médicament après la date de péremption indiquée sur l’emballage extérieur et la plaquette.
A conserver à une température ne dépassant pas 25°C.
Ne jetez aucun médicament au tout-à-l’égout ou avec les ordures ménagères. Demandez à votre pharmacien d’éliminer les médicaments que vous n’utilisez plus. Ces mesures contribueront à protéger l’environnement.
6. CONTENU DE L’EMBALLAGE ET AUTRES INFORMATIONS
Ce que contient LOVAVULO 20 microgrammes/ 100 microgrammes, comprimé pelliculé
· Les substances actives sont :
Ethinylestradiol ............................................................................................. 20 microgrammes
Lévonorgestrel ............................................................................................ 100 microgrammes
Pour un comprimé pelliculé.
· Les autres composants sont :
Noyau:
Lactose monohydraté, stéarate de magnésium, amidon de maïs, gélatine.
Pelliculage:
Hypromellose (3cps), Macrogol 4000, dioxyde de titane (E171).
LOVAVULO se présente sous forme de comprimés pelliculés ronds, convexes, blancs à blanc cassé.
LOVAVULO est présenté sous le conditionnement suivant:
21 comprimés pelliculés sous plaquettes thermoformées avec calendrier.
Taille des conditionnements:
Boîte de 1 plaquette de 21 comprimés pelliculés
Boîte de 3 plaquettes de 21 comprimés pelliculés
Boîte de 6 plaquettes de 21 comprimés pelliculés
Boîte de 13 plaquettes de 21 comprimés pelliculés
Toutes les présentations peuvent ne pas être commercialisées.
Titulaire de l’autorisation de mise sur le marché
12 RUDE DE BERRI
75008 PARIS
Exploitant de l’autorisation de mise sur le marché
6 RUE DE COPERNIC
75016 PARIS
IM WIRRIGEN 25
45731 WALTROP
ALLEMAGNE
Noms du médicament dans les Etats membres de l'Espace Economique Européen
Ce médicament est autorisé dans les Etats membres de l'Espace Economique Européen sous les noms suivants : Conformément à la réglementation en vigueur.
[À compléter ultérieurement par le titulaire]
La dernière date à laquelle cette notice a été révisée est :
[à compléter ultérieurement par le titulaire]
< {MM/AAAA}>< {mois AAAA}.>
Des informations détaillées sur ce médicament sont disponibles sur le site Internet de l’ANSM (France).