ANSM - Mis à jour le : 28/10/2025
SEASONIQUE 150 microgrammes/30 microgrammes + 10 microgrammes, comprimé pelliculé
lévonorgestrel/éthinylestradiol
éthinylestradiol
Veuillez lire attentivement cette notice avant de prendre ce médicament car elle contient des informations importantes pour vous.
· Gardez cette notice. Vous pourriez avoir besoin de la relire.
· Si vous avez d’autres questions, interrogez votre médecin ou votre pharmacien.
· Ce médicament vous a été personnellement prescrit. Ne le donnez pas à d’autres personnes. Il pourrait leur être nocif, même si les signes de leur maladie sont identiques aux vôtres.
· Si vous ressentez un quelconque effet indésirable, parlez-en à votre médecin ou votre pharmacien. Ceci s’applique aussi à tout effet indésirable qui ne serait pas mentionné dans cette notice. Voir rubrique 4.
Points importants à connaître concernant les contraceptifs hormonaux combinés (CHC) :
· Ils comptent parmi les méthodes de contraception réversibles les plus fiables lorsqu’ils sont utilisés correctement.
· Ils augmentent légèrement le risque de formation d’un caillot sanguin dans les veines et les artères, en particulier pendant la première année de leur utilisation ou lorsque le contraceptif hormonal combiné est repris après une interruption de 4 semaines ou plus.
· Soyez vigilante et consultez votre médecin si vous pensez présenter les symptômes évocateurs d’un caillot sanguin (voir rubrique 2 « Caillots sanguins »).
2. Quelles sont les informations à connaître avant de prendre SEASONIQUE 150 microgrammes/30 microgrammes + 10 microgrammes, comprimé pelliculé ?
3. Comment prendre SEASONIQUE 150 microgrammes/30 microgrammes + 10 microgrammes, comprimé pelliculé ?
4. Quels sont les effets indésirables éventuels ?
5. Comment conserver SEASONIQUE 150 microgrammes/30 microgrammes + 10 microgrammes, comprimé pelliculé ?
6. Contenu de l’emballage et autres informations.
Chacun des 84 comprimés roses contient une petite quantité de deux hormones sexuelles féminines différentes, à savoir le lévonorgestrel et l'éthinylestradiol.
Les 7 comprimés blancs contiennent une petite quantité de l'hormone sexuelle féminine éthinylestradiol.
Avant de commencer à utiliser Seasonique, vous devez lire les informations concernant les caillots sanguins en rubrique 2. Il est particulièrement important de lire la description des symptômes d’un caillot sanguin – voir rubrique 2, « Caillots sanguins »).
Avant de commencer à prendre Seasonique, un interrogatoire sur vos antécédents médicaux personnels et familiaux proches sera effectué par votre médecin. Votre pression artérielle sera mesurée et, si nécessaire, en fonction de votre situation personnelle, d'autres examens pourront être effectués.
Cette notice décrit plusieurs situations dans lesquelles vous devez arrêter de prendre Seasonique ou des circonstances dans lesquelles l'efficacité contraceptive de Seasonique peut être diminuée. Dans ces cas, vous ne devez pas avoir de rapports sexuels ou alors, vous devez utiliser d'autres méthodes contraceptives non hormonales comme le préservatif ou toute autre méthode mécanique. N'utilisez pas de méthodes naturelles de contraception (méthode du calendrier, mesure de la température). En effet, ces méthodes peuvent ne pas être fiables car Seasonique a un effet sur la température corporelle et sur la glaire cervicale.
Comme les autres contraceptifs hormonaux, SEASONIQUE 150 microgrammes/ 30 microgrammes + 10 microgrammes, comprimé pelliculé ne protège pas des infections à VIH (SIDA) ou des autres maladies sexuellement transmissibles.
Dans quels cas ne devez-vous jamais utiliser SEASONIQUE 150 microgrammes/ 30 microgrammes + 10 microgrammes, comprimé pelliculé ?
Vous ne devez pas utiliser Seasonique si vous êtes dans l’une des situations listées ci-dessous. Si l’une de ces maladies apparaît pour la première fois au cours de l’utilisation de Seasonique, vous devez en informer immédiatement votre médecin. Votre médecin discutera avec vous d’autres méthodes de contraception qui seraient plus adaptées.
Ne prenez jamais SEASONIQUE 150 microgrammes/30 microgrammes + 10 microgrammes, comprimé pelliculé :
· si vous avez (ou avez déjà eu) un caillot dans un vaisseau sanguin d'une jambe (thrombose veineuse profonde [TVP]), d’un poumon (embolie pulmonaire [EP]) ou d’autres organes ;
· si vous vous savez atteinte d’un trouble affectant la coagulation sanguine – par exemple, un déficit en protéine C, un déficit en protéine S, un déficit en antithrombine III, une mutation du facteur V de Leiden ou la présence d’anticorps anti-phospholipides ;
· si vous devez être opérée ou si vous êtes alitée pendant une durée prolongée (voir la rubrique « Caillots sanguins ») ;
· si vous avez déjà eu une crise cardiaque ou un accident vasculaire cérébral (AVC) ;
· si vous avez (ou avez déjà eu) une angine de poitrine (une maladie provoquant des douleurs intenses dans la poitrine et pouvant être le signe précurseur d’une crise cardiaque) ou un accident ischémique transitoire (AIT – symptômes temporaires d’AVC) ;
· si vous avez l’une des maladies suivantes pouvant augmenter le risque de caillot dans les artères :
o diabète sévère avec atteinte des vaisseaux sanguins ;
o pression artérielle très élevée ;
o taux très élevé de graisses dans le sang (cholestérol ou triglycérides) ;
o maladie appelée hyperhomocystéinémie ;
· si vous avez (ou avez déjà eu) un type de migraine appelé « migraine avec aura » ;
· si vous avez ou avez eu une inflammation du pancréas (pancréatite) ;
· si vous avez ou avez eu une maladie du foie et que votre foie ne fonctionne toujours pas normalement ;
· si vous avez ou vous avez eu une tumeur du foie ;
· si vous avez, avez eu ou si on suspecte un cancer du sein ou des organes génitaux ;
· si vous avez des saignements vaginaux inexpliqués ;
· si vous prenez du millepertuis ;
· si vous êtes allergique à l'éthinylestradiol ou au lévonorgestrel ou à l'un des autres composants contenus dans ce médicament (mentionnés dans la rubrique 6). Cela peut se manifester par des démangeaisons, une éruption ou un gonflement ;
· si vous souffrez d’une hépatite C et si vous prenez des médicaments contenant de l’ombitasvir/du paritaprévir/du ritonavir ,dasabuvir, glecaprevir/pibrentasvir et du sofosbuvir/velpatasvir/voxilaprevir (voir également rubrique « Autres médicaments et Seasonique »).
Avertissements et précautions
Dans quels cas devez-vous faire attention avec SEASONIQUE 150 microgrammes/ 30 microgrammes + 10 microgrammes, comprimé pelliculé ?
Dans quels cas devez-vous contacter votre médecin ?
Consultez un médecin de toute urgence
· si vous remarquez de possibles signes d’un caillot sanguin, qui pourraient indiquer que vous avez un caillot sanguin dans une jambe (thrombose veineuse profonde), que vous avez un caillot sanguin dans un poumon (embolie pulmonaire) ou que vous faites une crise cardiaque ou un AVC (voir la rubrique « Caillots sanguins » ci-dessous).
Pour la description des symptômes de ces effets indésirables graves, reportez-vous à la rubrique « Comment reconnaître un caillot sanguin ».
Si vous êtes dans l’une des situations suivantes, informez-en votre médecin.
Comme avec tout contraceptif hormonal combiné, dans certains cas, vous devez prendre des précautions particulières pendant la prise de Seasonique. Il peut être nécessaire d'être suivie régulièrement par votre médecin.
Si certaines des situations suivantes vous concernent, vous devez en informer votre médecin avant de prendre Seasonique. Si le problème apparaît ou s’aggrave pendant l’utilisation de Seasonique, vous devez également en informer votre médecin :
· si l’un de vos parents proches a ou a eu un cancer du sein ;
· si vous avez une maladie du foie ou de la vésicule biliaire ;
· si vous êtes diabétique ;
· si vous souffrez de dépression ;
· si vous avez une maladie de Crohn ou une rectocolite hémorragique (maladies inflammatoires chroniques des intestins) ;
· si vous avez un lupus érythémateux disséminé (LED) (une maladie qui affecte votre système de défenses naturelles) ;
· si vous avez un syndrome hémolytique et urémique (SHU) (un trouble de la coagulation sanguine qui entraîne une défaillance des reins) ;
· si vous avez une drépanocytose (maladie héréditaire des globules rouges du sang) ;
· si vous avez des taux élevés de graisses dans le sang (hypertriglycéridémie) ou des antécédents familiaux de ce trouble. L’hypertriglycéridémie a été associée à une augmentation du risque de pancréatite (inflammation du pancréas) ;
· si vous devez être opérée ou si vous êtes alitée pendant une durée prolongée (reportez-vous à la rubrique 2, « Caillots sanguins ») ;
· si vous venez d’accoucher, vous êtes exposée à un risque accru de caillots sanguins. Vous devez demander à votre médecin combien de temps après l’accouchement vous pouvez commencer à prendre Seasonique ;
· si vous avez une inflammation des veines situées sous la peau (thrombophlébite superficielle) ;
· si vous avez des varices ;
· si vous êtes épileptique (voir « Autres médicaments et Seasonique ») ;
· si vous avez l’une des maladies suivantes, apparue pour la première fois lors d'une grossesse ou de la prise antérieure d'un traitement hormonal : perte auditive, porphyrie (maladie du sang), herpès gestationnel (éruption de vésicules sur la peau pendant la grossesse), chorée de Sydenham (maladie des nerfs avec survenue de mouvements corporels brusques) ;
· si vous avez ou avez eu un chloasma (taches brun doré en particulier sur le visage, appelées « masque de grossesse »). Dans ce cas, évitez toute exposition directe au soleil ou aux rayons ultraviolets ;
· si vous allaitez (voir « Grossesse et allaitement »).
· en cas de survenue d’un des symptômes d’angiœdème suivants : gonflement du visage, de la langue et/ou de la gorge et/ou difficulté à avaler ou de l’urticaire associé à des difficultés pour respirer, consultez immédiatement votre médecin.
Les médicaments contenant des estrogènes peuvent induire ou aggraver les symptômes d’un angiœdème héréditaire et d’origine acquise.
Caillots sanguins
L’utilisation d’un contraceptif hormonal combiné tel que Seasonique augmente votre risque d’apparition d’un caillot sanguin en comparaison à une non-utilisation. Dans de rares cas, un caillot sanguin peut bloquer des vaisseaux sanguins et provoquer de graves problèmes.
Les caillots sanguins peuvent se former :
· dans les veines (on parle alors de « thrombose veineuse » ou de « thrombo-embolie veineuse » [TEV]) ;
· dans les artères (on parle alors de « thrombose artérielle » ou de « thrombo-embolie artérielle » [TEA]).
Le rétablissement, suite à des caillots sanguins, n’est pas toujours complet. Dans de rares cas, ils peuvent entraîner des séquelles graves et durables et, dans de très rares cas, ils peuvent être fatals.
Il est important de garder à l’esprit que le risque global de caillot sanguin dû à SEASONIQUE 150 microgrammes/30 microgrammes + 10 microgrammes, comprimé pelliculé est faible.
COMMENT RECONNAÎTRE UN CAILLOT SANGUIN
Consultez un médecin de toute urgence si vous remarquez l’un des signes ou symptômes suivants.
|
Présentez-vous l’un de ces signes ? |
Il peut éventuellement s’agir de : |
|
· gonflement d’une jambe ou le long d’une veine de la jambe ou du pied, en particulier s’il s’accompagne de : o douleur ou sensibilité dans la jambe, pouvant n’être ressentie qu’en position debout ou lors de la marche ; o chaleur dans la jambe affectée ; o changement de couleur de la peau de la jambe, devenant p. ex. pâle, rouge ou bleue. |
Thrombose veineuse profonde |
|
· apparition soudaine et inexpliquée d’un essoufflement ou d’une respiration rapide ; · toux soudaine sans cause apparente, avec parfois des crachats de sang ; · douleur aiguë dans la poitrine, qui peut s’accentuer en cas de respiration profonde ; · étourdissements ou sensations vertigineuses sévères ; · battements de cœur rapides ou irréguliers ; · douleur intense dans l’estomac. En cas de doute, consultez un médecin car certains de ces symptômes, comme la toux ou l’essoufflement, peuvent être pris à tort pour les signes d’une maladie moins sévère telle qu’une infection respiratoire (p. ex. un simple rhume). |
Embolie pulmonaire |
|
Symptômes apparaissant le plus souvent dans un seul œil : · perte immédiate de la vision ou ; · vision trouble sans douleur pouvant évoluer vers une perte de la vision. |
Thrombose veineuse rétinienne (caillot sanguin dans l’œil) |
|
· douleur, gêne, pression, lourdeur dans la poitrine ; · sensation d’oppression ou d’encombrement dans la poitrine, le bras ou sous le sternum ; · sensation d’encombrement, d’indigestion ou de suffocation ; · sensation de gêne dans le haut du corps irradiant vers le dos, la mâchoire, la gorge, le bras et l’estomac ; · transpiration, nausées, vomissements ou sensations vertigineuses ; · faiblesse, anxiété ou essoufflement extrêmes ; · battements de cœur rapides ou irréguliers. |
Crise cardiaque |
|
· apparition soudaine d’une faiblesse ou d’un engourdissement au niveau du visage, d’un bras ou d’une jambe, en particulier d’un côté du corps ; · apparition soudaine d’une confusion, de difficultés à parler ou à comprendre ; · apparition soudaine de difficultés à voir d’un œil ou des deux yeux ; · apparition soudaine de difficultés à marcher, de sensations vertigineuses, d’une perte d’équilibre ou de coordination ; · maux de tête soudains, sévères ou prolongés, sans cause connue ; · perte de conscience ou évanouissement avec ou sans crise convulsive. Parfois, les symptômes de l’AVC peuvent être de courte durée, avec un rétablissement presque immédiat et complet, mais vous devez tout de même consulter un médecin de toute urgence car vous pourriez être exposée au risque d’un nouvel AVC. |
Accident vasculaire cérébral (AVC) |
|
· gonflement et coloration légèrement bleutée d’une extrémité ; · douleur intense dans l’estomac (« abdomen aigu ») |
Caillots sanguins bloquant d’autres vaisseaux sanguins |
CAILLOTS SANGUINS DANS UNE VEINE
Que peut-il se passer si un caillot sanguin se forme dans une veine ?
· Un lien a été établi entre l’utilisation de contraceptifs hormonaux combinés et l’augmentation du risque de caillots sanguins dans les veines (thrombose veineuse). Cependant, ces effets indésirables sont rares. Le plus souvent, ils surviennent pendant la première année d’utilisation d’un contraceptif hormonal combiné.
· Lorsqu’un caillot sanguin se forme dans une veine d’une jambe ou d’un pied, il peut provoquer une thrombose veineuse profonde (TVP).
· Si le caillot sanguin migre de la jambe vers le poumon, il peut provoquer une embolie pulmonaire.
· Dans de très rares cas, un caillot peut se former dans une veine d’un autre organe, comme l’œil (thrombose veineuse rétinienne).
À quel moment le risque d’apparition d’un caillot sanguin dans une veine est-il le plus élevé ?
Le risque d’apparition d’un caillot sanguin dans une veine est maximal pendant la première année d’utilisation d’un contraceptif hormonal combiné pris pour la première fois. Le risque peut également être augmenté lorsque vous recommencez à prendre un contraceptif hormonal combiné (le même produit ou un produit différent) après une interruption de 4 semaines ou plus.
Après la première année, le risque diminue mais reste toujours légèrement plus élevé que si vous n’utilisiez pas de contraceptif hormonal combiné.
Lorsque vous arrêtez de prendre Seasonique, le risque d’apparition de caillot sanguin revient à la normale en quelques semaines.
Quel est le risque d’apparition d’un caillot sanguin ?
Le risque dépend de votre risque de base de TEV et du type de contraceptif hormonal combiné que vous prenez.
Le risque global de caillot sanguin dans une jambe ou un poumon (TVP ou EP) associé à Seasonique est faible.
· Sur 10 000 femmes qui n’utilisent aucun contraceptif hormonal combiné et qui ne sont pas enceintes, environ 2 développeront un caillot sanguin sur une période d’un an.
· Sur 10 000 femmes qui utilisent un contraceptif hormonal combiné contenant du lévonorgestrel, de la noréthistérone ou du norgestimate, environ 5 à 7 développeront un caillot sanguin sur une période d’un an.
· Le risque d’apparition d’un caillot sanguin variera selon vos antécédents médicaux personnels (voir « Facteurs augmentant le risque de caillot sanguin » ci-dessous).
|
|
Risque d’apparition d’un caillot sanguin sur une période d’un an |
|
Femmes qui n’utilisent pas de pilule hormonale combinée et qui ne sont pas enceintes |
Environ 2 femmes sur 10 000 |
|
Femmes qui utilisent une pilule contraceptive hormonale combinée contenant du lévonorgestrel, de la noréthistérone ou du norgestimate |
Environ 5 à 7 femmes sur 10 000 |
|
Femmes qui utilisent Seasonique |
Environ 5 à 15 femmes sur 10 000 |
Facteurs augmentant le risque de caillot sanguin dans une veine
Le risque de caillot sanguin associé à Seasonique est faible mais certaines situations peuvent augmenter ce risque. Le risque sera plus élevé :
· si vous avez un surpoids important (indice de masse corporelle [IMC] supérieur à 30 kg/m²) ;
· si l’un des membres de votre famille proche a eu un caillot sanguin dans une jambe, un poumon ou un autre organe à un âge relativement jeune (p. ex. avant l’âge de 50 ans). Si tel est le cas, vous pourriez être atteinte d’un trouble héréditaire de la coagulation sanguine ;
· si vous devez être opérée ou si vous êtes alitée pendant une période prolongée en raison d’une blessure ou d’une maladie, ou si votre jambe est immobilisée (p. ex. plâtre). Il pourra être nécessaire d’interrompre l’utilisation de Seasonique plusieurs semaines avant l’opération chirurgicale et/ou tant que votre mobilité est réduite. Si vous devez arrêter d’utiliser Seasonique, demandez à votre médecin à quel moment vous pourrez recommencer à l’utiliser ;
· avec l’âge (en particulier au-delà de 35 ans) ;
· si vous avez accouché dans les semaines précédentes.
Plus vous cumulez ces situations, plus le risque d’apparition d’un caillot sanguin augmente.
Les voyages en avion (de plus de 4 heures) peuvent augmenter temporairement le risque de caillot sanguin, en particulier si vous présentez déjà certains des autres facteurs listés.
Il est important de prévenir votre médecin si vous êtes concernée par l’une de ces situations, même si vous n’en êtes pas certaine. Votre médecin pourra décider qu’il est nécessaire d’arrêter le traitement par Seasonique.
Si l’une des situations ci-dessus évolue pendant la période où vous utilisez Seasonique, par exemple si un membre de votre famille proche développe une thrombose sans raison connue ou si vous prenez beaucoup de poids, parlez-en à votre médecin.
CAILLOTS SANGUINS DANS UNE ARTÈRE
Que peut-il se passer si un caillot sanguin se forme dans une artère ?
Comme un caillot sanguin dans une veine, un caillot dans une artère peut provoquer de graves problèmes. Par exemple, il peut provoquer une crise cardiaque ou un accident vasculaire cérébral (AVC).
Facteurs augmentant le risque de caillot sanguin dans une artère
Il est important de noter que le risque de crise cardiaque ou d’AVC lié à l’utilisation de Seasonique est très faible mais peut augmenter :
· avec l’âge (au-delà de 35 ans) ;
· si vous fumez. Lors de l’utilisation d’un contraceptif hormonal combiné tel que Seasonique, il est conseillé d’arrêter de fumer. Si vous ne parvenez pas à arrêter de fumer et si vous êtes âgée de plus de 35 ans, votre médecin pourra vous conseiller d’utiliser une méthode de contraception différente ;
· si vous êtes en surpoids ;
· si vous avez une pression artérielle élevée ;
· si un membre de votre famille proche a déjà eu une crise cardiaque ou un AVC à un âge relativement jeune (avant l’âge de 50 ans). Si tel est le cas, le risque que vous ayez une crise cardiaque ou un AVC pourrait également être plus élevé ;
· si vous, ou un membre de votre famille proche, avez un taux de graisses élevé dans le sang (cholestérol ou triglycérides) ;
· si vous avez des migraines, en particulier des migraines avec aura ;
· si vous avez des problèmes cardiaques (maladie de la valve cardiaque, trouble du rythme appelé fibrillation auriculaire) ;
· si vous êtes diabétique.
Si vous cumulez plusieurs de ces situations ou si l’une d’entre elles est particulièrement sévère, le risque d’apparition d’un caillot sanguin peut être encore plus élevé.
Si l’une des situations ci-dessus évolue pendant la période où vous utilisez Seasonique, par exemple si vous commencez à fumer, si un membre de votre famille proche développe une thrombose sans raison connue ou si vous prenez beaucoup de poids, parlez-en à votre médecin.
SEASONIQUE 150 microgrammes/30 microgrammes + 10 microgrammes, comprimé pelliculé et cancer
Des cancers du sein ont été observés un peu plus fréquemment chez les femmes qui prennent un contraceptif oral combiné. Il n'est cependant pas établi si cette différence est due au contraceptif oral combiné. En effet, il est possible que les femmes prenant un contraceptif oral combiné soient examinées par leur médecin plus souvent et plus attentivement. Cette différence de fréquence diminue progressivement après l'arrêt du contraceptif hormonal combiné.
Il est important d'examiner régulièrement vos seins. En cas de survenue d'une grosseur suspecte, contactez votre médecin.
Dans de rares cas, des tumeurs bénignes du foie, et encore plus rarement, des tumeurs malignes du foie, ont été signalées chez des utilisatrices de pilules contraceptives. Consultez votre médecin si vous présentez subitement des maux de ventre intenses.
Saignements entre les règles
Lorsque vous prenez Seasonique, qui a un cycle d'administration prolongé de 91 jours, vous devez vous attendre à avoir 4 périodes de règles programmées par an (saignements pendant que vous prenez les 7 comprimés blancs). Chaque période devrait durer environ 3 jours.
Des saignements entre les règles peuvent survenir dans les premiers mois d'un traitement par Seasonique. Il n'est pas rare de présenter des saignements entre les règles, en particulier pendant la prise de la première boîte de Seasonique. Ces saignements ou spottings (gouttes ou taches de sang) ont tendance à diminuer avec le temps. N'arrêtez pas de prendre Seasonique à cause de ces saignements ou spottings. Si les spottings persistent pendant plus de 7 jours consécutifs ou si les saignements sont abondants, contactez votre médecin.
Que faire si vos règles ne surviennent pas après le 84e jour
Vous devez envisager la possibilité que vous soyez enceinte si vous n'avez pas vos règles (pas de saignements les jours où vous prenez les comprimés blancs). Etant donné que les règles sont moins fréquentes pendant la prise de Seasonique, prévenez votre médecin que vous n'avez pas eu vos règles et que vous prenez Seasonique. Prévenez également votre médecin si vous avez des symptômes de grossesse, comme des nausées matinales ou une tension inhabituelle des seins. Il est important que votre professionnel de santé vous examine afin de déterminer si vous êtes enceinte.
Ne commencez pas la plaquette suivante de Seasonique tant que vous n'êtes pas certaine de ne pas être enceinte.
Troubles psychiatriques
Certaines femmes qui utilisent des contraceptifs hormonaux dont Seasonique ont fait état d’une dépression ou d’un état dépressif. La dépression peut être grave et peut parfois donner lieu à des idées suicidaires. Si vous présentez des changements d’humeur et des symptômes dépressifs, sollicitez les conseils de votre médecin dès que possible.
Autres médicaments et SEASONIQUE 150 microgrammes/30 microgrammes + 10 microgrammes, comprimé pelliculé
Indiquez toujours au médecin qui vous prescrit Seasonique les autres médicaments ou préparations à base de plantes que vous prenez déjà. Indiquez également à tout autre médecin ou dentiste qui vous prescrira un autre médicament (ou à votre pharmacien) que vous prenez Seasonique. Ils vous indiqueront si vous devez prendre des mesures contraceptives complémentaires (par exemple, préservatifs) et si nécessaire, pendant quelle durée.
Certains médicaments peuvent diminuer la capacité de Seasonique à prévenir une grossesse ou peuvent entraîner des saignements inattendus. Il s'agit notamment de médicaments utilisés dans le traitement de :
· l'épilepsie (ex : primidone, phénytoïne, barbituriques, carbamazépine, oxcarbazépine, topiramate, felbamate) ;
· la tuberculose (ex : rifampicine) ;
· les infections par le VIH (ex : ritonavir, névirapine) ou autres infections (antibiotique appelé griséofulvine) ;
· l'hypertension artérielle pulmonaire (bosentan) ;
· le cancer (vémurafénib).
Le millepertuis, un remède à base de plantes, peut également empêcher Seasonique d'agir efficacement.
Seasonique peut agir sur l'efficacité d'autres médicaments, par exemple :
· un antiépileptique : la lamotrigine (cela peut augmenter la fréquence des crises d'épilepsie).
N’utilisez pas Seasonique si vous souffrez d’une hépatite C et si vous prenez des médicaments contenant de l’ombitasvir/du paritaprévir/du ritonavir, dasabuvir, glecaprevir/pibrentasvir et du sofosbuvir/velpatasvir/voxilaprevir car ces produits peuvent entraîner une augmentation des valeurs des tests sanguins de la fonction hépatique (augmentation des enzymes hépatiques ALAT).
Votre médecin vous prescrira un autre type de contraceptif avant de commencer le traitement avec ces médicaments.
Seasonique peut être repris environ 2 semaines après l’arrêt de ce traitement. Voir rubrique « Ne prenez jamais Seasonique ».
Informez votre médecin ou pharmacien si vous prenez, avez récemment pris ou pourriez prendre tout autre médicament.
Analyses de laboratoire
Si vous devez effectuer un examen sanguin, informez votre médecin ou l'équipe du laboratoire que vous prenez Seasonique car les contraceptifs oraux peuvent modifier les résultats de certains examens.
SEASONIQUE 150 microgrammes/30 microgrammes + 10 microgrammes, comprimé pelliculé avec des aliments et boissons
Sans objet.
Si vous êtes enceinte, vous ne devez pas prendre Seasonique. Si vous tombez enceinte pendant la prise de Seasonique, vous devez arrêter immédiatement le traitement et consulter votre médecin.
En cas d'allaitement, l'utilisation de Seasonique est en général déconseillée car elle peut diminuer la quantité de lait maternel et modifier sa composition. Consultez votre médecin si vous désirez prendre une pilule contraceptive pendant l'allaitement.
Conduite de véhicules et utilisation de machines
Aucune information ne suggère que l'utilisation de Seasonique affecte la conduite de véhicules ou l’utilisation de machines.
SEASONIQUE 150 microgrammes/30 microgrammes + 10 microgrammes, comprimé pelliculé contient du lactose
Si votre médecin vous a informée d’une intolérance à certains sucres, contactez-le avant de prendre ce médicament.
SEASONIQUE 150 microgrammes/30 microgrammes + 10 microgrammes, comprimé pelliculé contient du rouge Allura (E129)
Seasonique contient un contient un colorant rouge appelé rouge Allura (E129) qui peut provoquer des réactions allergiques.
Comment prendre les comprimés
Prenez un comprimé de Seasonique chaque jour, si nécessaire avec un peu d'eau. Vous devez les prendre chaque jour à peu près à la même heure.
Quels comprimés prendre
Ne confondez pas les comprimés : prenez un comprimé rose pendant les 84 premiers jours, puis un comprimé blanc pendant les 7 derniers jours.
Lorsque la boîte est finie, commencez immédiatement une nouvelle boîte (84 comprimés roses puis 7 comprimés blancs), sans interruption.
Comme la composition des comprimés est différente, il est nécessaire de commencer avec le comprimé numéro 1 sur la plaquette Mois 1. Prenez les comprimés chaque jour. Une fois que vous avez pris tous les comprimés du Mois 1, passez à la plaquette Mois 2. Commencez avec le comprimé 29. Une fois que vous avez pris tous les comprimés de la plaquette Mois 2, passez à la plaquette Mois 3 et commencez avec le comprimé 57. Pour l'ordre de prise des comprimés, suivez le sens des flèches sur les plaquettes.
Préparation de la boîte
Pour vous aider à vous repérer, il y a 7 étiquettes hebdomadaires marquées des 7 jours de la semaine. Choisissez l'étiquette de la semaine qui commence par le jour où vous commencez à prendre les comprimés. Par exemple, si vous commencez un mercredi, utilisez l'étiquette de la semaine qui commence par “ME”.
Collez l'étiquette de la semaine le long du bord supérieur de la plaquette de Seasonique sur l'emplacement marqué « Coller ici l'étiquette hebdomadaire », de manière à ce que le premier jour soit au-dessus du comprimé marqué « 1 ».
Il y a maintenant un jour indiqué au-dessus de chaque comprimé et vous pouvez voir si vous avez pris telle ou telle pilule. Les flèches montrent l'ordre dans lequel vous devez prendre les pilules.
Vos règles, appelées hémorragies de privation, commenceront en général lorsque vous prenez les comprimés blancs.
Après avoir pris le dernier comprimé blanc, commencez une nouvelle boite de Seasonique, même si vos règles ne sont pas terminées. Vous commencerez toujours votre nouvelle boîte le même jour de la semaine et vos règles surviendront à peu près le même jour à chaque fois.
Si vous utilisez Seasonique de cette façon, vous ne tomberez pas enceinte pendant la totalité des 91 jours.
Quand devez-vous commencer la première plaquette ?
· Si vous n’avez pas pris de contraception hormonale le mois précédent :
Commencez Seasonique le 1er jour du cycle (c'est-à-dire le 1er jour de vos règles).
Vous pouvez également commencer entre le 2e et le 5e jour du cycle, mais vous devez alors prendre des mesures contraceptives complémentaires (par exemple utiliser un préservatif) pendant les 7 premiers jours de prise des comprimés.
· Si vous preniez auparavant un autre contraceptif hormonal combiné ou un anneau vaginal ou un patch :
Prenez de préférence le 1er comprimé de Seasonique le jour suivant la prise du dernier comprimé actif (le dernier comprimé contenant les substances actives) du contraceptif précédent. Si vous aviez auparavant un anneau vaginal ou un patch, suivez les conseils de votre médecin.
· Si vous utilisiez une méthode progestative seule (une pilule progestative, une méthode injectable, un implant ou un dispositif intra-utérin délivrant un progestatif) :
Si vous preniez auparavant une pilule progestative, vous pouvez commencer Seasonique à tout moment du cycle (si vous utilisiez un implant ou un dispositif intra-utérin, commencez Seasonique le jour du retrait ; si vous utilisiez un contraceptif injectable, commencez Seasonique le jour prévu pour la nouvelle injection).
Dans tous les cas, vous devez utiliser des mesures contraceptives complémentaires (par exemple un préservatif) pendant les 7 premiers jours de prise des comprimés.
· Après une fausse couche ou une interruption de grossesse :
Suivez les conseils de votre médecin.
· Après un accouchement :
Après un accouchement, vous pouvez commencer Seasonique 21 à 28 jours après l'accouchement. Si vous commencez après le 28e jour, vous devez utiliser une mesure contraceptive complémentaire (par exemple un préservatif) pendant les 7 premiers jours d'utilisation de Seasonique. Si, après l'accouchement, vous avez eu un rapport sexuel avant de (re)prendre Seasonique, vous devez vous assurer que vous n'êtes pas enceinte ou attendre vos prochaines règles avant de commencer.
· Si vous allaitez et que vous souhaitez (re)prendre Seasonique après un accouchement :
Lire la rubrique « Grossesse et allaitement ».
Suivez les indications de votre médecin si vous ne savez pas quand démarrer votre contraception.
Si vous avez pris plus de SEASONIQUE 150 microgrammes/30 microgrammes + 10 microgrammes, comprimé pelliculé que vous n’auriez dû
Aucune conséquence grave n'a été rapportée suite à une prise excessive de comprimés de Seasonique.
Si vous prenez plusieurs comprimés d’un coup, vous pouvez ressentir des symptômes tels que nausées et vomissements. Les jeunes filles peuvent présenter de petits saignements vaginaux.
Si vous avez pris plus de Seasonique que vous n'auriez dû ou si vous découvrez qu'un enfant a pris des comprimés de Seasonique, consultez votre médecin ou votre pharmacien.
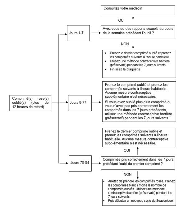
Si vous oubliez de prendre SEASONIQUE 150 microgrammes/30 microgrammes + 10 microgrammes, comprimé pelliculé
Comprimés roses : si vous oubliez de prendre un comprimé rose, selon le jour du cycle auquel le comprimé a été oublié, vous devrez peut-être prendre des précautions complémentaires, par exemple utiliser une méthode de type barrière (préservatif).
Prenez les comprimés roses selon les principes suivants :
· Si vous prenez un comprimé avec moins de 12 heures de retard, l'effet contraceptif n'est pas diminué. Prenez immédiatement le comprimé oublié, et poursuivez le traitement normalement en prenant le comprimé suivant à l'heure habituelle.
· Si vous prenez un comprimé avec plus de 12 heures de retard, il existe un risque de grossesse. Plus le nombre de comprimés oubliés est élevé, plus le risque de grossesse est important. Le risque de grossesse est particulièrement important si vous oubliez de prendre des comprimés roses au début de la boîte. Dans ce cas, vous devez respecter les recommandations énoncées ci-dessous.
Oubli d'un/de comprimé(s) rose(s) entre le 1er et le 7e jour
Prenez le dernier comprimé oublié dès que vous constatez l'oubli, même si cela signifie prendre deux comprimés en même temps. Prenez les comprimés suivants à l'heure habituelle et utilisez des précautions complémentaires les 7 jours suivants, par exemple, une méthode contraceptive barrière (préservatif). Si vous avez eu des rapports sexuels au cours des 7 jours précédant l'oubli, il existe un risque de grossesse. Dans ce cas, consultez votre médecin immédiatement.
Oubli d'un/de comprimé(s) rose(s) entre le 8e et le 77e jour
Prenez le comprimé oublié dès que vous constatez l'oubli, même si cela signifie prendre deux comprimés en même temps. Prenez les comprimés suivants à l'heure habituelle. Si vous avez pris vos comprimés correctement au cours des 7 jours précédant le premier comprimé oublié, l'efficacité contraceptive n'est pas diminuée et aucune mesure contraceptive complémentaire n'est nécessaire.
Toutefois, si tel n’est pas le cas et que vous avez oublié plus d’un comprimé, vous devez prendre des mesures contraceptives complémentaires pendant les 7 jours suivants, p. ex. une méthode contraceptive barrière (préservatif).
Oubli d'un/de comprimé(s) rose(s) entre le 78e et le 84e jour
Le risque de grossesse est particulièrement élevé si vous avez oublié de prendre les comprimés roses alors que la phase de prise des comprimés blancs était proche. Ce risque accru peut être évité en ajustant votre schéma de prise des comprimés.
Prenez le dernier comprimé dès que vous constatez l’oubli, même si cela signifie prendre deux comprimés en même temps. Prenez les comprimés suivants à l’heure habituelle. Si vous avez pris vos comprimés correctement au cours des 7 jours précédant le premier comprimé oublié, l’efficacité contraceptive n’est pas diminuée et aucune mesure contraceptive complémentaire n’est nécessaire. Toutefois, si tel n’est pas le cas, arrêtez de prendre les comprimés roses et prenez les comprimés blancs moins le nombre de comprimés que vous avez oubliés. Utilisez des mesures contraceptives complémentaires pendant les 7 jours suivants, p. ex. une méthode contraceptive barrière (préservatif).
Vous pouvez ensuite débuter un nouveau cycle de Seasonique.
Consultez votre médecin pour plus de recommandations.
Schéma : oubli de comprimés roses constaté avec plus de 12 heures de retard

Si vous avez oublié de prendre l'un des comprimés roses et que vous ne présentez pas de saignements au cours de la 13e semaine, il existe un risque de grossesse. Consultez votre médecin avant de commencer la nouvelle plaquette.
Que faire en cas de vomissements ou de diarrhées sévères ?
Si vous vomissez dans les 3 ou 4 heures qui suivent la prise d'un comprimé ou si vous avez une diarrhée sévère, l'absorption des substances actives contenues dans le comprimé peut ne pas être complète. La situation est identique à un oubli de comprimé. Après des vomissements ou une diarrhée, prenez un autre comprimé dès que possible. Les mêmes consignes que celles données dans la rubrique « Si vous oubliez de prendre Seasonique » s’appliquent.
Si vous ne voulez pas modifier l’ordre de prise des comprimés, vous pouvez prendre le comprimé rose supplémentaire dans la dernière rangée de la plaquette.
Si vous arrêtez de prendre SEASONIQUE 150 microgrammes/30 microgrammes + 10 microgrammes, comprimé pelliculé
Vous pouvez arrêter Seasonique quand vous le souhaitez. Si vous ne souhaitez pas être enceinte, demandez à votre médecin de vous conseiller d’autres méthodes contraceptives fiables.
Si vous avez d’autres questions sur l’utilisation de ce médicament, demandez plus d’informations à votre médecin, à votre sage-femme ou à votre pharmacien.
4. QUELS SONT LES EFFETS INDESIRABLES EVENTUELS ?
Comme tous les médicaments, ce médicament peut provoquer des effets indésirables, mais ils ne surviennent pas systématiquement chez tout le monde. Si vous ressentez un quelconque effet indésirable, en particulier si l’effet est sévère et persistant, ou si vous remarquez une modification de votre état de santé qui pourrait selon vous être due à Seasonique, informez-en votre médecin.
Il existe une augmentation du risque de caillots sanguins dans les veines (thrombo-embolie veineuse [TEV]) ou dans les artères (thrombo-embolie artérielle [TEA]) chez toutes les femmes qui prennent des contraceptifs hormonaux combinés. Pour plus de précisions sur les différents risques associés à la prise de contraceptifs hormonaux combinés, reportez-vous à la rubrique 2, « Quelles sont les informations à connaître avant de prendre Seasonique 150 microgrammes/30 microgrammes + 10 microgrammes, comprimé pelliculé ».
Effets indésirables graves – Consultez immédiatement votre médecin :
· Réaction d’hypersensibilité (réaction allergique) – les signes incluent gonflement du visage, des lèvres, de la bouche, de la langue ou de la gorge ; éruption de plaques rouges et gonflées (urticaire) et démangeaisons.
· Caillot sanguin dans un vaisseau sanguin de la jambe (thrombose), d’un poumon (embolie pulmonaire) ou d’autres organes. Pour connaître les signes liés à un caillot sanguin (voir rubrique 2, « Caillots sanguins »).
· Consultez immédiatement votre médecin en cas de survenue d’un des symptômes d’angiœdème suivants : gonflement du visage, de la langue et/ou de la gorge et/ou difficulté à avaler ou de l’urticaire associé à des difficultés pour respirer (voir chapitre avertissement et précaution).
Si vous pensez être dans l’une de ces situations, consultez immédiatement votre médecin. Il est possible que vous deviez arrêter de prendre Seasonique.
Très fréquent : peut affecter plus d'1 personne sur 10
· saignements entre les règles.
Fréquent : peut affecter jusqu'à 1 personne sur 10
· modification de l'humeur, modification du désir sexuel, dépression ;
· maux de tête, migraines ;
· nausée, douleur abdominale ;
· acné ;
· règles abondantes et prolongées, tension des seins, règles douloureuses ;
· prise de poids.
Peu fréquent : peut affecter jusqu'à 1 personne sur 100
· infection fongique, infection vaginale fongique ou bactérienne (y compris candidose), infection de la vessie, gastro-entérite, infection de la gorge et des sinus ;
· maladie fibrokystique des seins, survenue ou aggravation de fibromes utérins (tumeur bénigne) ;
· anémie ;
· augmentation de l'appétit, anorexie, diminution de l'appétit, diabète, résistance à l'insuline ;
· irritabilité, anxiété, humeur dépressive, aggravation d’une dépression, détresse émotionnelle, troubles du sommeil, anomalies de l'orgasme, paranoïa ;
· étourdissements, impression d'avoir la peau plus sensible, sensibilité absente ou réduite à la stimulation cutanée ;
· vertige ;
· battements cardiaques irréguliers, battements cardiaques rapides ;
· bouffées de chaleur, hypertension artérielle, aggravation de l’hypertension artérielle, diminution de la pression artérielle au passage en position debout ;
· congestion des sinus ;
· vomissements, indigestion, diarrhée, constipation ;
· inflammation de la vésicule biliaire, calculs biliaires ;
· éruption, changements de la croissance et de la texture des cheveux/poils, perte ou amincissement inhabituel des cheveux, affection des ongles, sueurs nocturnes, sensibilité de la peau à la lumière, taches foncées sur la peau ;
· gonflement périphérique, douleurs dorsales, spasmes musculaires, douleurs dans les articulations, raideur articulaire, douleurs musculaires, douleurs cervicales ;
· sécheresse vaginale ou vulvaire, spasme de l'utérus, douleurs dans les seins, règles irrégulières, gonflement des seins, augmentation de volume des seins, rapports sexuels douloureux, saignements après un rapport sexuel, écoulement vaginal, écoulement des seins, démangeaisons génitales, éruption génitale, douleurs pelviennes, ovaires polykystiques, affection vulvaire, gêne vaginale ou vulvaire;
· sensation de fatigue, gonflement de certaines parties du corps, douleur, douleurs dans la poitrine, sensation de chaleur, symptômes pseudo-grippaux, malaise, fièvre ;
· augmentation de la pression artérielle, augmentation des graisses dans le sang ;
· diminution du poids.
Rare peut affecter jusqu’à 1 personne sur 1 000
· caillots sanguins dans une veine ou une artère, par exemple :
o dans une jambe ou un pied (thrombose veineuse profonde, TVP) ;
o dans un poumon (embolie pulmonaire, EP) ;
o crise cardiaque ;
o accident vasculaire cérébral (AVC) ;
o mini-AVC ou symptômes temporaires de type AVC, connus sous le nom d’accident ischémique transitoire (AIT) ;
o caillots sanguins dans le foie, l’estomac/l’intestin, les reins ou un œil.
Le risque d’apparition d’un caillot sanguin peut être plus élevé si vous présentez certains autres facteurs qui augmentent ce risque (voir rubrique 2 pour plus d’informations sur les facteurs augmentant le risque de caillots sanguins et les symptômes d’un caillot sanguin).
Fréquence indéterminée : ne peut être estimée sur la base des données disponibles
· perte de conscience ;
· calvitie ;
· douleurs dans les bras ou les jambes.
· Enzymes hépatiques augmentées (élévation des transaminases).
Déclaration des effets secondaires
Si vous ressentez un quelconque effet indésirable, parlez-en à votre médecin ou votre pharmacien. Ceci s’applique aussi à tout effet indésirable qui ne serait pas mentionné dans cette notice. Vous pouvez également déclarer les effets indésirables directement via le système national de déclaration : Agence nationale de sécurité du médicament et des produits de santé (ANSM) et réseau des Centres Régionaux de Pharmacovigilance - Site internet : https://signalement.social-sante.gouv.fr/.
En signalant les effets indésirables, vous contribuez à fournir davantage d’informations sur la sécurité du médicament.
Tenir ce médicament hors de la vue et de la portée des enfants.
A conserver dans l'emballage extérieur d'origine à l'abri de la lumière et de l'humidité.
N’utilisez pas ce médicament après la date de péremption indiquée sur l'emballage extérieur, le sachet en aluminium, l’étui pour plaquette et la plaquette après EXP. La date de péremption fait référence au dernier jour de ce mois.
Ne jetez aucun médicament au tout-à-l’égout ou avec les ordures ménagères. Demandez à votre pharmacien d’éliminer les médicaments que vous n’utilisez plus. Ces mesures contribueront à protéger l’environnement.
6. CONTENU DE L’EMBALLAGE ET AUTRES INFORMATIONS
Ce que contient SEASONIQUE 150 microgrammes/30 microgrammes + 10 microgrammes, comprimé pelliculé
· Les substances actives sont lévonorgestrel et ethinylestradiol:
Chaque comprimé pelliculé rose contient 150 microgrammes de lévonorgestrel et 30 microgrammes d'éthinylestradiol.
Un comprimé pelliculé blanc contient 10 microgrammes d'éthinylestradiol.
Autres composants contenus dans le comprimé rose :
Noyau du comprimé : lactose (voir section 2, SEASONIQUE, comprimé pelliculé contient du lactose), hypromellose, cellulose microcristalline, stéarate de magnésium.
Pelliculage : hypromellose, dioxyde de titane (E171), macrogol 400, rouge Allura (E129) (voir section 2, SEASONIQUE, comprimé pelliculé contient du rouge Allura), polysorbate 80, laque aluminique de bleu brillant FCF (E133).
Autres composants contenus dans le comprimé blanc :
Noyau du comprimé : lactose, polacriline potassique, cellulose microcristalline, stéarate de magnésium.
Pelliculage : dioxyde de titane (E171), polydextrose FCC, hypromellose, triacétine, macrogol 8000.
Le comprimé rose est rond, biconvexe, d'environ 5,7 mm de diamètre, portant l'inscription « 172 » sur une face et « T » sur l'autre face.
Le comprimé blanc est rond, biconvexe, d'environ 5,7 mm de diamètre, portant l'inscription « 173 » sur une face et « T » sur l'autre face.
Titulaire de l’autorisation de mise sur le marché
3RD FLOOR, KILMORE HOUSE,
PARK LANE, SPENCER DOCK,
DUBLIN 1
D01 YE64
IRLANDE
Exploitant de l’autorisation de mise sur le marché
THERAMEX FRANCE
83 AVENUE CHARLES DE GAULLE
92200 NEUILLY-SUR-SEINE
HAUPT PHARMA MÜNSTER GMBH,
SCHLEEBRÜGGENKAMP 15
48159 MÜNSTER
ALLEMAGNE
Noms du médicament dans les Etats membres de l'Espace Economique Européen
Ce médicament est autorisé dans les Etats membres de l'Espace Economique Européen sous les noms suivants : Conformément à la réglementation en vigueur.
[À compléter ultérieurement par le titulaire]
La dernière date à laquelle cette notice a été révisée est :
[à compléter ultérieurement par le titulaire]
< {MM/AAAA}>< {mois AAAA}.>
Des informations détaillées sur ce médicament sont disponibles sur le site Internet de l’ANSM (France).
INFORMATIONS IMPORTANTES SUR SEASONIQUE 150 microgrammes/30 microgrammes + 10 microgrammes, comprimé pelliculé
ET LE RISQUE DE CAILLOTS SANGUINS
Tous les contraceptifs hormonaux combinés tels que SEASONIQUE 150 microgrammes/ 30 microgrammes + 10 microgrammes, comprimé pelliculé augmentent le risque de développement d’un caillot sanguin. Le risque global de développement d’un caillot sanguin associé à SEASONIQUE 150 microgrammes/30 microgrammes + 10 microgrammes, comprimé pelliculé est faible mais les caillots peuvent avoir des conséquences graves et, dans de très rares cas, entraîner le décès.
Il est très important que vous connaissiez les situations dans lesquelles vous avez un risque plus élevé de développer un caillot sanguin, les signes et symptômes auxquels vous devez rester attentive, et les mesures que vous devez prendre.
Dans quelles situations le risque de développer un caillot sanguin est-il le plus élevé ?
· Au cours de la première année d’utilisation de SEASONIQUE 150 microgrammes/30 microgrammes + 10 microgrammes, comprimé pelliculé ;(et également si vous recommencez à l’utiliser après une interruption de 4 semaines ou plus) ;
· Si vous êtes en surpoids important ;
· Si vous avez plus de 35 ans ;
· Si un membre de votre famille proche a développé un caillot sanguin à un âge relativement jeune (avant l’âge de 50 ans) ;
· Si vous avez accouché au cours des semaines précédentes.
Si vous fumez et que vous avez plus de 35 ans, il est fortement recommandé d’arrêter de fumer ou d’utiliser une méthode contraceptive non hormonale.
Vous devez consulter un médecin immédiatement si vous présentez l’un des symptômes suivants :
· Une douleur sévère ou un gonflement affectant l’une de vos jambes, pouvant s’accompagner d’une sensibilité, d’une sensation de chaleur ou d’un changement de la couleur de la peau : pâleur, rougeur ou bleuissement. Vous présentez peut être une thrombose veineuse profonde (phlébite).
· Un essoufflement ou une respiration rapide, survenant de façon soudaine et inexpliquée ; une douleur sévère dans la poitrine pouvant s’intensifier en cas de respiration profonde ; une toux soudaine sans cause évidente (pouvant s’accompagner d’un crachat de sang). Vous présentez peut-être une complication grave suite à une thrombose veineuse profonde, appelée embolie pulmonaire. Cela se produit lorsque le caillot sanguin se déplace de la jambe au poumon.
· Une douleur dans la poitrine, souvent aiguë, mais parfois seulement une gêne, une oppression ou une sensation de poids dans la poitrine, une gêne dans la poitrine irradiant vers le dos, la mâchoire, la gorge, le bras, accompagnée d’une sensation de lourdeur associée à une indigestion ou une suffocation, des sueurs, des nausées, des vomissements ou des sensations vertigineuses. Vous faites peut-être une crise cardiaque (infarctus du myocarde).
· Une faiblesse ou un engourdissement du visage, du bras ou de la jambe, en particulier d’un seul côté du corps ; des troubles de la parole ou de la compréhension ; une confusion soudaine ; une perte de vision soudaine ou une vision trouble ; des maux de tête/migraines sévères plus intenses que d’habitude. Vous faites peut-être un accident vasculaire cérébral (AVC).
Soyez attentive aux symptômes associés à un caillot sanguin, en particulier :
· si vous venez de subir une intervention chirurgicale ;
· si vous êtes restée immobilisée pendant longtemps (par exemple à cause d’une blessure ou d’une maladie, ou si vous avez une jambe dans le plâtre) ;
· si vous avez fait un long voyage (plus de 4 heures).
Pensez à informer votre médecin, pharmacien, sage-femme, infirmier/ère ou chirurgien que vous utilisez SEASONIQUE 150 microgrammes/30 microgrammes + 10 microgrammes, comprimé pelliculé :
· si vous devez ou venez de subir une intervention chirurgicale ;
· à chaque fois qu’un professionnel de santé vous demande si vous prenez un médicament.
Les patientes et les associations agréées de patients peuvent également signaler tout effet indésirable à leur centre régional de pharmacovigilance. Pour plus d’information, consultez le site internet de l’Agence nationale de sécurité du médicament et des produits de santé : www.ansm.sante.fr. Rubrique « Déclarer un effet indésirable ».