ANSM - Mis à jour le : 20/03/2026
DROSPIRENONE/ETHINYLESTRADIOL VIATRIS 3 mg/0,02 mg, comprimé pelliculé
Drospirénone/Ethinylestradiol
· Gardez cette notice. Vous pourriez avoir besoin de la relire.
· Si vous avez d’autres questions, interrogez votre médecin, votre pharmacien ou votre infirmier/ère.
· Ce médicament vous a été personnellement prescrit. Ne le donnez pas à d’autres personnes. Il pourrait leur être nocif, même si les signes de leur maladie sont identiques aux vôtres.
· Si vous ressentez un quelconque effet indésirable, parlez-en à votre médecin, votre pharmacien ou votre infirmier/ère. Ceci s’applique aussi à tout effet indésirable qui ne serait pas mentionné dans cette notice. Voir rubrique 4.
Points importants à connaître concernant les contraceptifs hormonaux combinés (CHC) :
· Ils comptent parmi les méthodes de contraception réversibles les plus fiables lorsqu’ils sont utilisés correctement.
· Ils augmentent légèrement le risque de formation d’un caillot sanguin dans les veines et les artères, en particulier pendant la première année de leur utilisation ou lorsque le contraceptif hormonal combiné est repris après une interruption de 4 semaines ou plus.
· Soyez vigilante et consultez votre médecin si vous pensez présenter les symptômes évocateurs d’un caillot sanguin (voir rubrique 2 « Caillots sanguins »).
2. Quelles sont les informations à connaître avant de prendre DROSPIRENONE/ ETHINYLESTRADIOL VIATRIS 3 mg/0,02 mg, comprimé pelliculé ?
3. Comment prendre DROSPIRENONE/ETHINYLESTRADIOL VIATRIS 3 mg/0,02 mg, comprimé pelliculé ?
4. Quels sont les effets indésirables éventuels ?
5. Comment conserver DROSPIRENONE/ETHINYLESTRADIOL VIATRIS 3 mg/0,02 mg, comprimé pelliculé ?
6. Contenu de l’emballage et autres informations.
DROSPIRENONE/ETHINYLESTRADIOL VIATRIS 3 mg/0,02 mg, comprimé pelliculé est une pilule contraceptive utilisée afin d’éviter une grossesse.
Chaque comprimé contient une faible quantité de deux différentes hormones féminines : la drospirénone et l'éthinylestradiol.
Les contraceptifs oraux qui contiennent deux hormones sont appelés contraceptifs oraux « combinés » (COC).
Avant de commencer à utiliser DROSPIRENONE/ETHINYLESTRADIOL VIATRIS, vous devez lire les informations concernant les caillots sanguins (thrombose) en rubrique 2. Il est particulièrement important de lire la description des symptômes d’un caillot sanguin – voir rubrique 2, « Caillots sanguins ».
Avant de commencer un traitement par DROSPIRENONE/ETHINYLESTRADIOL VIATRIS, un interrogatoire sur vos antécédents médicaux personnels et familiaux proches sera effectué par votre médecin. Votre pression artérielle sera mesurée et, si besoin est, selon votre situation personnelle, d'autres examens pourront être demandés.
Cette notice décrit plusieurs situations où vous devez arrêter de prendre DROSPIRENONE/ ETHINYLESTRADIOL VIATRIS ou des circonstances où l'efficacité contraceptive pourrait être diminuée. Dans ces cas, vous ne devez pas avoir de rapports sexuels ou alors, vous devez utiliser d'autres méthodes contraceptives non hormonales comme le préservatif ou toute autre barrière mécanique. N'utilisez pas de méthodes naturelles de contraception (mesure de la température, aspect de la glaire cervicale).
En effet, ces méthodes peuvent ne pas être fiables car DROSPIRENONE/ETHINYLESTRADIOL VIATRIS a un effet sur la température corporelle et sur la glaire cervicale.
Comme les autres contraceptifs oraux, DROSPIRENONE/ETHINYLESTRADIOL VIATRIS ne protège pas des infections à VIH (SIDA) ou des autres maladies sexuellement transmissibles.
Si votre médecin vous a informée d’une intolérance à certains sucres, contactez-le avant de prendre ce médicament.
Ne prenez jamais DROSPIRENONE/ETHINYLESTRADIOL VIATRIS 3 mg/0,02 mg, comprimé pelliculé :
Vous ne devez pas prendre DROSPIRENONE/ETHINYLESTRADIOL VIATRIS si vous êtes dans l’une des situations listées ci-dessous. Si tel est le cas, vous devez en informer votre médecin. Votre médecin discutera avec vous d’autres méthodes de contraception qui seraient plus adaptées :
· si vous avez (ou avez déjà eu) un caillot dans un vaisseau sanguin d’une jambe (thrombose veineuse profonde [TVP]), d’un poumon (embolie pulmonaire [EP]) ou d’autres organes ;
· si vous vous savez atteinte d’un trouble affectant la coagulation sanguine – par exemple, un déficit en protéine C, un déficit en protéine S, un déficit en antithrombine III, une mutation du facteur V de Leiden ou la présence d’anticorps antiphospholipides ;
· si vous devez être opérée ou si vous êtes alitée pendant une durée prolongée (voir la rubrique « Caillots sanguins ») ;
· si vous avez déjà eu une crise cardiaque ou un accident vasculaire cérébral (AVC) ;
· si vous avez (ou avez déjà eu) une angine de poitrine (une maladie provoquant des douleurs intenses dans la poitrine et pouvant être le signe précurseur d’une crise cardiaque) ou un accident ischémique transitoire (AIT - symptômes temporaires d’AVC) ;
· si vous avez l’une des maladies suivantes pouvant augmenter le risque de caillot dans les artères :
o diabète sévère avec atteinte des vaisseaux sanguins,
o pression artérielle très élevée,
o taux très élevé de graisses dans le sang (cholestérol ou triglycérides),
o maladie appelée hyperhomocystéinémie ;
· si vous avez (ou avez déjà eu) un type de migraine appelé « migraine avec aura ». ;
· si vous avez (ou avez déjà eu) une affection du foie avec absence de normalisation de votre fonction hépatique ;
· si vos reins ne fonctionnent pas correctement (insuffisance rénale) ;
· si vous avez (ou avez déjà eu) une tumeur du foie ;
· si vous avez (ou avez déjà eu) un cancer du sein ou des organes génitaux, ou si vous avez une suspicion de cancer du sein ou des organes génitaux ;
· si vous avez des saignements vaginaux inexpliqués ;
· si vous êtes allergique à l'éthinylestradiol ou à la drospirénone, ou à l'un des composants de DROSPIRENONE/ETHINYLESTRADIOL VIATRIS (mentionnés à la rubrique 6). Cela peut se manifester par des démangeaisons, une éruption cutanée ou un gonflement.
Ne prenez jamais DROSPIRENONE/ETHINYLESTRADIOL VIATRIS si vous avez l'hépatite C et prenez des médicaments contenant ombitasvir/ paritaprévir/ritonavir, dasabuvir, glécaprévir/pibrentasvir ou sofosbuvir/velpatasvir/voxilaprévir (voir aussi rubrique « Autres médicaments et DROSPIRENONE/ ETHINYLESTRADIOL VIATRIS 3 mg/0,02 mg, comprimé pelliculé »).
Informations supplémentaires concernant les populations particulières
Enfants et adolescents
DROSPIRENONE/ETHINYLESTRADIOL VIATRIS n’est pas destiné à être utilisé chez les jeunes filles qui n’ont pas encore leurs règles.
Femmes âgées
DROSPIRENONE/ETHINYLESTRADIOL VIATRIS n’est pas destiné à être utilisé après la ménopause.
Femmes atteintes d’une insuffisance au niveau du foie
Ne prenez pas DROSPIRENONE/ETHINYLESTRADIOL VIATRIS si vous présentez une maladie du foie. Voir également les rubriques « Ne prenez jamais DROSPIRENONE/ETHINYLESTRADIOL VIATRIS 3 mg/0,02 mg, comprimé pelliculé » et « Avertissements et précautions ».
Femmes atteintes d’une insuffisance au niveau des reins
Ne prenez pas DROSPIRENONE/ETHINYLESTRADIOL VIATRIS si vos reins ne fonctionnent pas correctement ou si vous présentez une insuffisance rénale aiguë. Voir également les rubriques « Ne prenez jamais DROSPIRENONE/ETHINYLESTRADIOL VIATRIS 3 mg/0,02 mg, comprimé pelliculé » et « Avertissements et précautions ».
Avertissements et précautions
Quand faut-il prendre des précautions particulières avec DROSPIRENONE/ ETHINYLESTRADIOL VIATRIS ?
Dans quels cas devez-vous contacter votre médecin ?
Consultez un médecin de toute urgence :
· si vous remarquez de possibles signes d’un caillot sanguin, qui pourraient indiquer que vous avez un caillot sanguin dans une jambe (thrombose veineuse profonde), que vous avez un caillot sanguin dans un poumon (embolie pulmonaire) ou que vous faites une crise cardiaque ou un AVC (voir la rubrique « Caillots sanguins » ci-dessous).
Pour la description des symptômes de ces effets indésirables graves, reportez-vous à la rubrique « Comment reconnaître un caillot sanguin ».
Si vous êtes dans l’une des situations suivantes, informez-en votre médecin.
Si la situation apparaît ou s’aggrave pendant l’utilisation de DROSPIRENONE/ETHINYLESTRADIOL VIATRIS, vous devez également en informer votre médecin. Dans certains cas, vous devez prendre des précautions particulières pendant l'utilisation de DROSPIRENONE/ETHINYLESTRADIOL VIATRIS ou de tout autre contraceptif oral combiné. Il peut être nécessaire d'être suivie régulièrement par votre médecin. Adressez-vous à votre médecin ou à votre pharmacien avant de prendre DROSPIRENONE/ ETHINYLESTRADIOL VIATRIS :
· en cas de survenue ou d’antécédent de cancer du sein chez un parent proche ;
· si vous avez un cancer ;
· si vous avez une affection du foie (comme une obstruction des voies biliaires qui peut causer une jaunisse et des symptômes comme des démangeaisons) ou de la vésicule biliaire (tels que des calculs biliaires) ;
· si vous avez d'autres problèmes rénaux et si vous prenez des médicaments qui augmentent le taux de potassium dans le sang ;
· si vous êtes diabétique ;
· en cas de dépression ;
· si vous êtes atteinte de la maladie de Crohn ou de rectocolite hémorragique (maladies inflammatoires chroniques des intestins) ;
· si vous avez un lupus érythémateux disséminé (LED) (une maladie qui affecte votre système de défenses naturelles) ;
· si vous avez un syndrome hémolytique et urémique (SHU) (un trouble de la coagulation sanguine qui entraîne une défaillance des reins) ;
· si vous souffrez d’anémie falciforme (une maladie héréditaire touchant les globules rouges) ;
· si vous avez des taux élevés de graisses dans le sang (hypertriglycéridémie) ou des antécédents familiaux de ce trouble. L’hypertriglycéridémie a été associée à une augmentation du risque de pancréatite (inflammation du pancréas) ;
· si vous devez être opérée ou si vous êtes alitée pendant une durée prolongée (reportez-vous à la rubrique 2 « Caillots sanguins ») ;
· si vous venez juste d’accoucher, vous êtes exposée à un risque augmenté de caillots sanguins. Vous devez demander à votre médecin combien de temps après l’accouchement vous pouvez commencer à prendre DROSPIRENONE/ETHINYLESTRADIOL VIATRIS ;
· si vous avez une inflammation des veines situées sous la peau (thrombophlébite superficielle) ;
· si vous avez des varices ;
· si vous êtes épileptique (voir rubrique « Autres médicaments et DROSPIRENONE/ETHINYLESTRADIOL VIATRIS 3 mg/0,02 mg, comprimé pelliculé ») ;
· si vous avez présenté l'une des pathologies suivantes lors d'une grossesse ou lors de la prise antérieure d'un traitement hormonal : perte auditive, maladie du sang appelée porphyrie, une éruption de vésicules sur la peau pendant la grossesse (herpès gestationnel), une maladie des nerfs avec survenue de mouvements corporels brusques non contrôlés (chorée de Sydenham) ;
· si vous avez une pression artérielle élevée pendant le traitement qui est non contrôlée par un traitement avec un médicament ;
· si vous avez (ou avez déjà eu) un chloasma (une pigmentation anormale de la peau en particulier sur le visage ou le cou, appelée « masque de grossesse »). Dans ce cas, évitez toute exposition directe au soleil ou aux rayons ultraviolets tout en prenant ce médicament ;
· si vous développez des symptômes d’angiœdème tels qu'un gonflement du visage, de la langue et/ou de la gorge et/ou des difficultés à avaler ou une urticaire avec éventuellement des difficultés à respirer, consultez immédiatement votre médecin. Les produits contenant des œstrogènes peuvent déclencher ou aggraver les symptômes d’un angiœdème héréditaire et acquis.
CAILLOTS SANGUINS
L’utilisation d’un contraceptif hormonal combiné tel que DROSPIRENONE/ETHINYLESTRADIOL VIATRIS augmente le risque d’apparition d’un caillot sanguin en comparaison à une non-utilisation. Dans de rares cas, un caillot sanguin peut bloquer des vaisseaux sanguins et provoquer de graves problèmes.
Les caillots sanguins peuvent se former :
· dans les veines (on parle alors de « thrombose veineuse » ou de « thrombo-embolie veineuse » [TEV]) ;
· dans les artères (on parle alors de « thrombose artérielle » ou de « thrombo-embolie artérielle » [TEA]).
Le rétablissement, suite à des caillots sanguins, n’est pas toujours complet. Dans de rares cas, ils peuvent entraîner des séquelles graves et durables et, dans de très rares cas, ils peuvent être fatals.
Il est important de garder à l’esprit que le risque global de caillot sanguin dû à DROSPIRENONE/ETHINYLESTRADIOL VIATRIS est faible.
COMMENT RECONNAÎTRE UN CAILLOT SANGUIN ?
Consultez un médecin de toute urgence si vous remarquez l’un des signes ou symptômes suivants.
|
Présentez-vous l’un de ces signes ? |
Il peut éventuellement s’agir de : |
|
· Gonflement d’une jambe ou le long d’une veine de la jambe ou du pied, en particulier s’il s’accompagne de : o douleur ou sensibilité dans la jambe, pouvant n’être ressentie qu’en position debout ou lors de la marche, o chaleur dans la jambe affectée, o changement de couleur de la peau de la jambe, devenant par ex. pâle, rouge ou bleue. |
Thrombose veineuse profonde |
|
· Apparition soudaine et inexpliquée d’un essoufflement ou d’une respiration rapide ; · toux soudaine sans cause apparente, avec parfois des crachats de sang ; · douleur aiguë dans la poitrine, qui peut s’accentuer en cas de respiration profonde ; · étourdissements ou sensations vertigineuses sévères ; · battements de cœur rapides ou irréguliers ; · douleur intense dans l’estomac. En cas de doute, consultez un médecin car certains de ces symptômes, comme la toux ou l’essoufflement, peuvent être pris à tort pour les signes d’une maladie moins sévère telle qu’une infection respiratoire (par ex., un simple rhume). |
Embolie pulmonaire |
|
Symptômes apparaissant le plus souvent dans un seul œil : · perte immédiate de la vision ou · vision trouble sans douleur pouvant évoluer vers une perte de la vision. |
Thrombose veineuse rétinienne (caillot sanguin dans l’œil) |
|
· Douleur, gêne, pression, lourdeur dans la poitrine ; · sensation d’oppression ou d’encombrement dans la poitrine, le bras ou sous le sternum ; · sensation d’encombrement, d’indigestion ou de suffocation ; · sensation de gêne dans le haut du corps irradiant vers le dos, la mâchoire, la gorge, le bras et l’estomac ; · transpiration, nausées, vomissements ou sensations vertigineuses ; · faiblesse, anxiété ou essoufflement extrêmes ; · battements de cœur rapides ou irréguliers. |
Crise cardiaque |
|
· Apparition soudaine d’une faiblesse ou d’un engourdissement au niveau du visage, d’un bras ou d’une jambe, en particulier d’un côté du corps ; · apparition soudaine d’une confusion, de difficultés à parler ou à comprendre ; · apparition soudaine de difficultés à voir d’un œil ou des deux yeux ; · apparition soudaine de difficultés à marcher, de sensations vertigineuses, d’une perte d’équilibre ou de coordination ; · maux de tête soudains, sévères ou prolongés, sans cause connue ; · perte de conscience ou évanouissement avec ou sans crise convulsive. Parfois, les symptômes de l’AVC peuvent être de courte durée, avec un rétablissement presque immédiat et complet, mais vous devez tout de même consulter un médecin de toute urgence car vous pourriez être exposée au risque d’un nouvel AVC. |
Accident vasculaire cérébral (AVC) |
|
· Gonflement et coloration légèrement bleutée d’une extrémité ; · douleur intense dans l’estomac (« abdomen aigu »). |
Caillots sanguins bloquant d’autres vaisseaux sanguins |
CAILLOTS SANGUINS DANS UNE VEINE
Que peut-il se passer si un caillot sanguin se forme dans une veine ?
· Un lien a été établi entre l’utilisation de contraceptifs hormonaux combinés et l’augmentation du risque de caillots sanguins dans les veines (thrombose veineuse). Cependant, ces effets indésirables sont rares. Le plus souvent, ils surviennent pendant la première année d’utilisation d’un contraceptif hormonal combiné.
· Lorsqu’un caillot sanguin se forme dans une veine d’une jambe ou d’un pied, il peut provoquer une thrombose veineuse profonde (TVP).
· Si le caillot sanguin migre de la jambe vers le poumon, il peut provoquer une embolie pulmonaire.
· Dans de très rares cas, un caillot peut se former dans une veine d’un autre organe, comme l’œil (thrombose veineuse rétinienne).
À quel moment le risque d’apparition d’un caillot sanguin dans une veine est-il le plus élevé ?
Le risque d’apparition d’un caillot sanguin dans une veine est maximal pendant la première année d’utilisation d’un contraceptif hormonal combiné pris pour la première fois. Le risque peut également être augmenté lorsque vous recommencez à prendre un contraceptif hormonal combiné (le même produit ou un produit différent) après une interruption de 4 semaines ou plus.
Après la première année, le risque diminue mais reste toujours légèrement plus élevé que si vous n’utilisiez pas de contraceptif hormonal combiné.
Lorsque vous arrêtez de prendre DROSPIRENONE/ETHINYLESTRADIOL VIATRIS, le risque d’apparition de caillot sanguin revient à la normale en quelques semaines.
Quel est le risque d’apparition d’un caillot sanguin ?
Le risque dépend de votre risque de base de TEV et du type de contraceptif hormonal combiné que vous prenez.
Le risque global de caillot sanguin dans une jambe ou un poumon (TVP ou EP) associé à DROSPIRENONE/ETHINYLESTRADIOL VIATRIS est faible.
· Sur 10 000 femmes qui n’utilisent aucun contraceptif hormonal combiné et qui ne sont pas enceintes, environ 2 développeront un caillot sanguin sur une période d’un an.
· Sur 10 000 femmes qui utilisent un contraceptif hormonal combiné contenant du lévonorgestrel, de la noréthistérone ou du norgestimate, environ 5 à 7 développeront un caillot sanguin sur une période d’un an.
· Sur 10 000 femmes qui utilisent un contraceptif hormonal combiné contenant de la drospirénone, comme DROSPIRENONE/ETHINYLESTRADIOL VIATRIS, environ 9 à 12 développeront un caillot sanguin sur une période d’un an.
· Le risque d’apparition d’un caillot sanguin variera selon vos antécédents médicaux personnels (voir « Facteurs augmentant le risque de caillot sanguin » ci-dessous).
|
Risque d’apparition d’un caillot sanguin sur une période d’un an |
|
|
Femmes qui n’utilisent pas de contraceptif hormonal combiné (pilule/patch/anneau) et qui ne sont pas enceintes |
Environ 2 femmes sur 10 000 |
|
Femmes qui utilisent une pilule contraceptive hormonale combinée contenant du lévonorgestrel, de la noréthistérone ou du norgestimate |
Environ 5 à 7 femmes sur 10 000 |
|
Femmes qui utilisent DROSPIRENONE/ ETHINYLESTRADIOL VIATRIS |
Environ 9 à 12 femmes sur 10 000 |
Facteurs augmentant le risque de caillot sanguin dans une veine
Le risque de caillot sanguin associé à DROSPIRENONE/ETHINYLESTRADIOL VIATRIS est faible mais certaines situations peuvent augmenter ce risque. Le risque sera plus élevé :
· si vous avez un surpoids important (indice de masse corporelle [IMC] supérieur à 30 kg/m2) ;
· si l’un des membres de votre famille proche a eu un caillot sanguin dans une jambe, un poumon ou un autre organe à un âge relativement jeune (par ex., avant l’âge de 50 ans). Si tel est le cas, vous pourriez être atteinte d’un trouble héréditaire de la coagulation sanguine ;
· si vous devez être opérée ou si vous êtes alitée pendant une période prolongée en raison d’une blessure ou d’une maladie, ou si votre jambe est immobilisée (par ex., plâtre). Il pourra être nécessaire d’interrompre l’utilisation de DROSPIRENONE/ETHINYLESTRADIOL VIATRIS plusieurs semaines avant l’opération chirurgicale et/ou tant que votre mobilité est réduite. Si vous devez arrêter d’utiliser DROSPIRENONE/ETHINYLESTRADIOL VIATRIS, demandez à votre médecin à quel moment vous pourrez recommencer à l’utiliser ;
· avec l’âge (en particulier au-delà de 35 ans) ;
· si vous avez accouché dans les semaines précédentes.
Plus vous cumulez ces situations, plus le risque d’apparition d’un caillot sanguin augmente.
Les voyages en avion (de plus de 4 heures) peuvent augmenter temporairement le risque de caillot sanguin, en particulier si vous présentez déjà certains des autres facteurs listés.
Il est important de prévenir votre médecin si vous êtes concernée par l’une de ces situations, même si vous n’en êtes pas certaine. Votre médecin pourra décider qu’il est nécessaire d’arrêter le traitement par DROSPIRENONE/ETHINYLESTRADIOL VIATRIS.
Si l’une des situations ci-dessus évolue pendant la période où vous utilisez DROSPIRENONE/ ETHINYLESTRADIOL VIATRIS, par exemple si un membre de votre famille proche développe une thrombose sans raison connue ou si vous prenez beaucoup de poids, parlez-en à votre médecin.
CAILLOTS SANGUINS DANS UNE ARTÈRE
Que peut-il se passer si un caillot sanguin se forme dans une artère ?
Comme un caillot sanguin dans une veine, un caillot dans une artère peut provoquer de graves problèmes. Par exemple, il peut provoquer une crise cardiaque ou un accident vasculaire cérébral (AVC).
Facteurs augmentant le risque de caillot sanguin dans une artère
Il est important de noter que le risque de crise cardiaque ou d’AVC lié à l’utilisation de DROSPIRENONE/ETHINYLESTRADIOL VIATRIS est très faible mais peut augmenter :
· avec l’âge (au-delà de 35 ans) ;
· si vous fumez. Lors de l’utilisation d’un contraceptif hormonal combiné tel que DROSPIRENONE/ETHINYLESTRADIOL VIATRIS, il est conseillé d’arrêter de fumer. Si vous ne parvenez pas à arrêter de fumer et si vous êtes âgée de plus de 35 ans, votre médecin pourra vous conseiller d’utiliser une méthode de contraception différente ;
· si vous êtes en surpoids ;
· si vous avez une pression artérielle élevée ;
· si un membre de votre famille proche a déjà eu une crise cardiaque ou un AVC à un âge relativement jeune (avant l’âge de 50 ans). Si tel est le cas, le risque que vous ayez une crise cardiaque ou un AVC pourrait également être plus élevé ;
· si vous, ou un membre de votre famille proche, avez un taux de graisses élevé dans le sang (cholestérol ou triglycérides) ;
· si vous avez des migraines, en particulier des migraines avec aura ;
· si vous avez des problèmes cardiaques (maladie de la valve cardiaque, trouble du rythme appelé fibrillation auriculaire) ;
· si vous êtes diabétique.
Si vous cumulez plusieurs de ces situations ou si l’une d’entre elles est particulièrement sévère, le risque d’apparition d’un caillot sanguin peut être encore plus élevé.
Si l’une des situations ci-dessus évolue pendant la période où vous utilisez DROSPIRENONE/ ETHINYLESTRADIOL VIATRIS, par exemple si vous commencez à fumer, si un membre de votre famille proche développe une thrombose sans raison connue ou si vous prenez beaucoup de poids, parlez-en à votre médecin.
DROSPIRENONE/ETHINYLESTRADIOL VIATRIS 3 mg/0,02 mg, comprimé pelliculé et cancer
Le cancer du sein est plus fréquent chez les femmes qui prennent un contraceptif oral combiné. Il n'est cependant pas établi si cette différence est due au contraceptif oral combiné. En effet, il est possible que les femmes prenant un contraceptif oral combiné soient examinées plus souvent par leur médecin attentivement. Cette différence disparaît progressivement après l'arrêt du contraceptif oral combiné.
Il est important d'examiner régulièrement vos seins. En cas de survenue d'une grosseur suspecte, contactez votre médecin.
Dans de rares cas, des tumeurs bénignes du foie, et plus rarement encore des tumeurs malignes du foie ont été observées chez des femmes prenant un contraceptif oral. Consultez votre médecin si vous présentez subitement des maux de ventre intenses, gonflement abdominal (qui peut résulter d’un agrandissement du foie) ou saignements de l’estomac.
Saignements entre les règles
Des saignements entre les règles, en dehors de la semaine d'interruption, peuvent survenir dans les premiers mois d'un traitement par DROSPIRENONE/ETHINYLESTRADIOL VIATRIS.
Si ces saignements persistent plusieurs mois ou s'ils apparaissent au bout de plusieurs mois d'utilisation, votre médecin doit en rechercher la cause.
Que faire si vos règles ne surviennent pas pendant la période (semaine) sans traitement ?
Si vous avez pris correctement tous les comprimés, si vous n'avez pas eu de vomissements ou de diarrhées sévères et si vous n'avez pas pris d'autres médicaments, il est peu probable que vous soyez enceinte.
Si vous n'avez pas vos règles deux fois de suite, il se peut que vous soyez enceinte. Consultez immédiatement votre médecin. Ne commencez pas la plaquette suivante tant que vous n'êtes pas certaine de ne pas être enceinte.
Troubles psychiatriques
Certaines femmes qui utilisent des contraceptifs hormonaux dont DROSPIRENONE/ ETHINYLESTRADIOL VIATRIS ont fait état d’une dépression ou d’un état dépressif. La dépression peut être grave et parfois donner lieu à des idées suicidaires. Si vous présentez des changements d’humeur et des symptômes dépressifs, sollicitez les conseils de votre médecin dès que possible.
Autres médicaments et DROSPIRENONE/ETHINYLESTRADIOL VIATRIS 3 mg/0,02 mg, comprimé pelliculé
|
Indiquez au médecin qui vous prescrit DROSPIRENONE/ETHINYLESTRADIOL VIATRIS 3 mg/0,02 mg, comprimé pelliculé si vous prenez, avez récemment pris ou pourriez prendre d'autres médicaments ou préparations à base de plantes. Indiquez également à tout autre médecin ou dentiste qui vous prescrira un autre médicament (ou à votre pharmacien) que vous utilisez DROSPIRENONE/ETHINYLESTRADIOL VIATRIS 3 mg/0,02 mg, comprimé pelliculé. Ils vous indiqueront si vous devez prendre des mesures contraceptives complémentaires (par exemple, des préservatifs) et, si nécessaire, pendant quelle durée. |
· Certains médicaments ont une influence sur les taux plasmatiques de DROSPIRENONE/ ETHINYLESTRADIOL VIATRIS, ce qui peut diminuer son efficacité contraceptive ou provoquer des saignements entre les règles, tels que les médicaments traitant :
o l'épilepsie (par exemple, les barbituriques, la primidone, la phénytoïne, la carbamazépine, l'oxcarbazépine, le felbamate, le topiramate),
o la tuberculose (par exemple, la rifampicine),
o les infections par le VIH et le VHC (médicaments appelés inhibiteurs des protéases et inhibiteurs non nucléosides de la transcriptase réverse comme le ritonavir, la névirapine, l’éfavirenz),
o les infections fongiques (par exemple, la griséofulvine ou le kétoconazole),
o l’arthrite, l’arthrose (étoricoxib),
o l’hypertension artérielle dans les vaisseaux sanguins du poumon (bosentan),
o les médicaments à base de millepertuis.
Si vous prenez un des médicaments listés ci-dessus avec DROSPIRENONE/ETHINYLESTRADIOL VIATRIS, vous devez prendre des mesures contraceptives complémentaires (par exemple, préservatifs) pendant et après 28 jours après le traitement.
· DROSPIRENONE/ETHINYLESTRADIOL VIATRIS 3 mg/0,02 mg, comprimé pelliculé peut influencer l'effet d'autres médicaments tels que :
o les médicaments contenant de la ciclosporine,
o la lamotrigine (un anti-épileptique) ce qui peut entraîner une augmentation de la fréquence des crises d'épilepsie,
o la théophylline (utilisée dans le traitement de problèmes respiratoires),
o la tizanidine (utilisée dans le traitement des douleurs musculaires et/ou des crampes musculaires).
Votre médecin peut surveiller votre taux de potassium dans le sang si vous prenez certains médicaments qui traitent des problèmes cardiaques (comme les diurétiques).
N’utilisez pas DROSPIRENONE/ETHINYLESTRADIOL VIATRIS si vous avez l'hépatite C et prenez des médicaments contenant ombitasvir/paritaprévir/ritonavir, dasabuvir, glécaprévir/pibrentasvir ou sofosbuvir/velpatasvir/voxilaprévir car ces produits pourraient entraîner des élévations aux tests sanguins de la fonction hépatique (élévations de l'enzyme hépatique ALAT).
Votre médecin vous prescrira un autre type de contraceptif avant le début du traitement avec ces médicaments.
DROSPIRENONE/ETHINYLESTRADIOL VIATRIS peut être redémarré environ 2 semaines après la fin de ce traitement. Voir la rubrique « Ne prenez jamais DROSPIRENONE/ETHINYLESTRADIOL VIATRIS 3 mg/0,02 mg, comprimé pelliculé ».
Examens biologiques
Si vous devez effectuer un examen sanguin, informez votre médecin ou l'équipe du laboratoire que vous prenez une contraception orale, ces produits pouvant modifier les résultats de certains examens.
DROSPIRENONE/ETHINYLESTRADIOL VIATRIS 3 mg/0,02 mg, comprimé pelliculé avec des aliments et boissons
DROSPIRENONE/ETHINYLESTRADIOL VIATRIS 3 mg/0,02 mg, comprimé pelliculé peut être pris avec ou sans aliments, avec un peu d’eau si nécessaire.
Grossesse
En cas de grossesse, vous ne devez pas prendre DROSPIRENONE/ETHINYLESTRADIOL VIATRIS 3 mg/0,02 mg, comprimé pelliculé. Si une grossesse survient sous DROSPIRENONE/ ETHINYLESTRADIOL VIATRIS 3 mg/0,02 mg, comprimé pelliculé, arrêtez immédiatement la prise du contraceptif et consultez votre médecin.
Si vous désirez être enceinte, vous pouvez arrêter de prendre DROSPIRENONE/ ETHINYLESTRADIOL VIATRIS 3 mg/0,02 mg, comprimé pelliculé à tout moment (voir rubrique « Si vous souhaitez arrêter de prendre DROSPIRENONE/ETHINYLESTRADIOL VIATRIS 3 mg/0,02 mg, comprimé pelliculé »).
Allaitement
En cas d'allaitement, l'utilisation de DROSPIRENONE/ETHINYLESTRADIOL VIATRIS 3 mg/0,02 mg, comprimé pelliculé est en général déconseillée. Consultez votre médecin si vous désirez prendre un contraceptif oral pendant l'allaitement.
Si vous êtes enceinte ou que vous allaitez, si vous pensez être enceinte ou planifiez une grossesse, demandez conseil à votre médecin ou votre pharmacien avant de prendre ce médicament.
Sportifs
Sans objet.
Conduite de véhicules et utilisation de machines
Aucun effet sur l'aptitude à conduire des véhicules ou à utiliser des machines n'a été observé avec DROSPIRENONE/ETHINYLESTRADIOL VIATRIS 3 mg/0,02 mg, comprimé pelliculé.
DROSPIRENONE/ETHINYLESTRADIOL VIATRIS 3 mg/0,02 mg, comprimé pelliculé contient du lactose et du sodium.
Si votre médecin vous a informée d’une intolérance à certains sucres, contactez-le avant de prendre ce médicament.
Ce médicament contient moins de 1 mmol de sodium (23 mg) par comprimé, c'est-à-dire qu’il est essentiellement « sans sodium ».
3. COMMENT PRENDRE DROSPIRENONE/ETHINYLESTRADIOL VIATRIS 3 mg/ 0,02 mg, comprimé pelliculé ?
Posologie
Prenez un comprimé de DROSPIRENONE/ETHINYLESTRADIOL VIATRIS 3 mg/0,02 mg, comprimé pelliculé chaque jour, éventuellement avec un peu d'eau. Vous pouvez prendre le comprimé au cours ou en dehors des repas. Prenez votre comprimé chaque jour à la même heure.
La plaquette contient 21 comprimés. Au-dessus de chaque comprimé est imprimé le jour de la semaine où vous devez le prendre. Si, par exemple, vous commencez à prendre DROSPIRENONE/ETHINYLESTRADIOL VIATRIS 3 mg/0,02 mg, comprimé pelliculé un mercredi, prenez le comprimé au-dessus duquel est inscrit « Mer ». Suivez la direction de la flèche indiquée sur la plaquette jusqu'à ce que vous ayez pris les 21 comprimés.
Ne prenez pas de comprimés pendant les 7 jours suivants. Pendant ces 7 jours sans prise de comprimé (appelée période d'arrêt), vos règles devraient commencer. Elles sont appelées « hémorragies de privation » et commencent en général 2 à 3 jours après la prise du dernier comprimé de DROSPIRENONE/ETHINYLESTRADIOL VIATRIS 3 mg/0,02 mg, comprimé pelliculé.
Le 8e jour après la prise du dernier comprimé de la plaquette de DROSPIRENONE/ ETHINYLESTRADIOL VIATRIS 3 mg/0,02 mg, comprimé pelliculé (c'est-à-dire après la période de 7 jours d'interruption), commencez la plaquette suivante, même si l'hémorragie de privation n'est pas terminée. Vous commencerez toujours votre nouvelle plaquette le même jour de la semaine et vos règles surviendront à peu près le même jour, tous les mois.
Si vous utilisez DROSPIRENONE/ETHINYLESTRADIOL VIATRIS 3 mg/0,02 mg, comprimé pelliculé de cette façon, vous êtes protégée d'une grossesse, y compris pendant la période de 7 jours où vous ne prenez pas de comprimés.
Quand devez-vous commencer la première plaquette ?
Si vous n'avez pas pris de contraception hormonale durant le mois précédent :
· Commencez DROSPIRENONE/ETHINYLESTRADIOL VIATRIS 3 mg/0,02 mg, comprimé pelliculé le 1er jour de votre cycle (c'est-à-dire, le 1er jour de vos règles). Si vous commencez DROSPIRENONE/ETHINYLESTRADIOL VIATRIS 3 mg/0,02 mg, comprimé pelliculé le 1er jour de vos règles, vous êtes immédiatement protégée d'une grossesse. Vous pouvez également commencer DROSPIRENONE/ETHINYLESTRADIOL VIATRIS 3 mg/0,02 mg, comprimé pelliculé entre le 2e et le 5e jour de votre cycle, mais vous devez alors utiliser une méthode contraceptive complémentaire (par exemple, un préservatif) pendant les 7 premiers jours.
Si vous preniez auparavant un contraceptif hormonal combiné, un anneau vaginal ou un patch contraceptif combiné :
· Vous devez commencer la prise de DROSPIRENONE/ETHINYLESTRADIOL VIATRIS 3 mg/0,02 mg, comprimé pelliculé de préférence le lendemain de la prise du dernier comprimé actif (dernier comprimé contenant les substances actives) de la pilule précédente, ou au plus tard le jour qui suit la période habituelle d'arrêt de prise de votre contraception précédente (ou après la prise du dernier comprimé inactif de votre contraception précédente).
Si vous utilisiez auparavant un anneau vaginal ou un patch contraceptif combiné, vous devez commencer à prendre DROSPIRENONE/ETHINYLESTRADIOL VIATRIS de préférence le jour du retrait et, au plus tard, le jour de la prochaine application.
Si vous utilisiez une méthode progestative seule (pilule progestative, injection, implant ou un système intra-utérin délivrant un progestatif (SIU)) :
· Si vous utilisiez une pilule progestative, vous pouvez cependant commencer DROSPIRENONE/ ETHINYLESTRADIOL VIATRIS 3 mg/0,02 mg, comprimé pelliculé à tout moment du cycle, le lendemain de l'arrêt de la pilule progestative.
· Si vous utilisiez un implant ou un SIU, vous devez commencer DROSPIRENONE/ ETHINYLESTRADIOL VIATRIS 3 mg/0,02 mg, comprimé pelliculé le jour du retrait.
· Si vous utilisiez un contraceptif injectable, débutez DROSPIRENONE/ETHINYLESTRADIOL VIATRIS 3 mg/0,02 mg, comprimé pelliculé le jour prévu pour la nouvelle injection.
Cependant, quelle que soit la méthode précédente, vous devez utiliser des précautions complémentaires (par exemple, un préservatif) pendant les 7 premiers jours de prise de DROSPIRENONE/ETHINYLESTRADIOL VIATRIS 3 mg/0,02 mg, comprimé pelliculé.
Après une fausse couche ou l’interruption de votre grossesse :
· Suivez les conseils de votre médecin.
Après un accouchement :
· Vous pouvez commencer DROSPIRENONE/ETHINYLESTRADIOL VIATRIS 3 mg/0,02 mg, comprimé pelliculé 21 à 28 jours après l'accouchement. Si vous commencez après le 28e jour, vous devez utiliser une contraception barrière complémentaire (par exemple, un préservatif) pendant les 7 premiers jours d'utilisation de DROSPIRENONE/ETHINYLESTRADIOL VIATRIS 3 mg/0,02 mg, comprimé pelliculé.
Si, après l'accouchement, vous avez eu un rapport sexuel avant de prendre DROSPIRENONE/ETHINYLESTRADIOL VIATRIS 3 mg/0,02 mg, comprimé pelliculé, vous devez vous assurer que vous n'êtes pas enceinte ou attendre les prochaines règles avant de commencer DROSPIRENONE/ETHINYLESTRADIOL VIATRIS 3 mg/0,02 mg, comprimé pelliculé.
Si vous allaitez et que vous souhaitez (re)commencer DROSPIRENONE/ETHINYLESTRADIOL VIATRIS 3 mg/0,02 mg, comprimé pelliculé après un accouchement : lire la rubrique « Allaitement ».
Suivez les indications de votre médecin si vous ne savez pas quand démarrer votre contraception.
Si vous avez pris plus de DROSPIRENONE/ETHINYLESTRADIOL VIATRIS 3 mg/0,02 mg, comprimé pelliculé que vous n’auriez dû :
Aucune conséquence grave n'a été rapportée suite à un surdosage de DROSPIRENONE/ETHINYLESTRADIOL VIATRIS 3 mg/0,02 mg, comprimé pelliculé.
Si vous prenez plusieurs comprimés en une fois, les symptômes susceptibles d'apparaître sont des nausées, des vomissements ou des saignements vaginaux. Ces saignements peuvent apparaître même chez les filles qui n’ont pas encore de règles et qui auraient accidentellement pris ce médicament. Si vous avez pris plus de DROSPIRENONE/ETHINYLESTRADIOL VIATRIS 3 mg/0,02 mg, comprimé pelliculé que vous n'auriez dû, ou découvrez qu'un enfant a pris des comprimés, consultez immédiatement votre médecin ou votre pharmacien.
Si vous oubliez de prendre DROSPIRENONE/ETHINYLESTRADIOL VIATRIS 3 mg/0,02 mg, comprimé pelliculé :
· Si l'oubli d'un comprimé est constaté dans les 12 heures qui suivent l'heure habituelle de la prise, l'effet contraceptif n'est pas diminué. Prenez immédiatement le comprimé oublié, et poursuivez le traitement normalement en prenant le comprimé suivant à l'heure habituelle.
· Si l'oubli d'un comprimé est constaté plus de 12 heures après l'heure habituelle de la prise, il existe un risque de grossesse. Plus le nombre de comprimés oubliés est élevé, plus le risque de diminution de l’effet contraceptif de DROSPIRENONE/ETHINYLESTRADIOL VIATRIS 3 mg/0,02 mg, comprimé pelliculé est important.
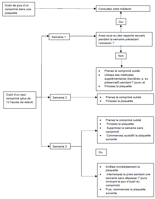
Le risque de grossesse est particulièrement important si vous oubliez de prendre des comprimés au début ou à la fin de la plaquette. Vous devez donc respecter les recommandations énoncées ci-après (reportez-vous également au diagramme).
Oubli de plus d'un comprimé de la plaquette :
Consultez votre médecin.
Oubli d'un comprimé en semaine 1 :
Prenez le comprimé oublié dès que vous constatez l'oubli, même si cela implique la prise de deux comprimés en même temps. Prenez les comprimés suivants à l'heure habituelle et utilisez des précautions complémentaires les 7 jours suivants, par exemple, un préservatif. Si des rapports sexuels ont eu lieu au cours des 7 jours précédant l'oubli, vous devez contacter votre médecin car il y a un risque de grossesse.
Oubli d'un comprimé en semaine 2 :
Prenez le comprimé oublié dès que vous constatez l’oubli, même si cela implique la prise de deux comprimés en même temps. Prenez les comprimés suivants à l'heure habituelle. L'efficacité contraceptive n'est pas diminuée et aucune mesure contraceptive supplémentaire n'est nécessaire.
Oubli d'un comprimé en semaine 3 :
Vous pouvez choisir l'une de ces deux possibilités :
1. Prenez le comprimé oublié dès que vous constatez l’oubli, même si cela implique la prise de deux comprimés en même temps. Prenez les comprimés suivants à l'heure habituelle. Commencer la plaquette suivante dès la fin de la plaquette précédente, c'est-à-dire, sans arrêt entre deux plaquettes.
Il est fort probable que vous ayez vos règles à la fin de la seconde plaquette mais vous pouvez aussi présenter des spottings (gouttes ou taches de sang) ou des saignements entre les règles au cours de la seconde plaquette.
2. Vous pouvez également arrêter immédiatement de prendre les comprimés de la plaquette en cours et passer directement à la période d'arrêt de 7 jours (incluant les jours où vous avez oublié vos comprimés, notez le jour de votre oubli). Si vous voulez commencer une nouvelle plaquette le jour habituel de votre première prise, raccourcissez la période d'arrêt à moins de 7 jours.
Si vous suivez correctement l'une ou l'autre de ces deux recommandations, vous êtes protégée d'un risque de grossesse.
Si vous avez oublié de prendre des comprimés d'une plaquette et n'avez pas eu l'hémorragie de privation (règles) prévue au cours du premier intervalle normal sans comprimés, il se peut que vous soyez enceinte.
Vous devez consulter votre médecin avant de commencer la plaquette suivante.
Le schéma ci-après décrit comment procéder si vous avez oublié de prendre un comprimé :

Que faire en cas de vomissements ou de diarrhées sévères ?
Si vous vomissez dans les 3 ou 4 heures qui suivent la prise d'un comprimé ou si vous avez une diarrhée sévère, l'absorption des substances actives du comprimé peut ne pas être complète. Dans ce cas, vous devez utiliser une méthode de contraception complémentaire (par exemple, préservatifs) pour éviter une grossesse. La situation est presque identique à un oubli de comprimé.
Après des vomissements ou une diarrhée, prenez un autre comprimé d'une plaquette de réserve dès que possible et si possible dans les 12 heures qui suivent l’heure habituelle de prise.
Si vous ne pouvez pas respecter ce délai ou si plus de 12 heures se sont écoulées, suivez les conseils donnés au paragraphe « Si vous oubliez de prendre DROSPIRENONE/ ETHINYLESTRADIOL VIATRIS 3 mg/0,02 mg, comprimé pelliculé ».
Ce que vous devez savoir pour retarder vos règles :
Même si ce n'est pas recommandé, vous pouvez retarder vos règles en commençant une nouvelle plaquette de DROSPIRENONE/ETHINYLESTRADIOL VIATRIS 3 mg/0,02 mg, comprimé pelliculé sans respecter l'intervalle libre de 7 jours jusqu'à la fin de la seconde plaquette. Il peut se produire des spottings (gouttes ou taches de sang) ou des saignements entre les règles au cours de la prise de cette seconde plaquette. Après l'intervalle libre habituel de 7 jours, commencez la plaquette suivante.
Demandez conseil à votre médecin avant de décider de retarder vos règles.
Ce que vous devez savoir pour décaler le 1er jour des règles :
Si vous prenez les comprimés comme indiqué dans cette notice, vos règles (hémorragie de privation) surviennent au cours de l’intervalle libre (toujours le même jour).
Si vous devez changer ce jour, raccourcissez la durée de l'intervalle libre (mais ne le rallongez jamais – 7 jours est le maximum !). Par exemple, si vos règles commencent habituellement le vendredi et que vous désirez décaler ce jour au mardi (3 jours plus tôt), vous devez commencer une nouvelle plaquette 3 jours plus tôt que d'habitude. Si la période d'arrêt est très courte (par exemple, 3 jours ou moins), il est possible que vous n'ayez pas d'hémorragie de privation pendant cette période d'arrêt. Des « spottings » (gouttes ou taches de sang) ou des saignements entre les règles peuvent survenir.
Si vous avez des doutes sur la façon de procéder, demandez conseil à votre médecin.
Si vous arrêtez de prendre DROSPIRENONE/ETHINYLESTRADIOL VIATRIS 3 mg/0,02 mg, comprimé pelliculé :
Vous pouvez arrêter DROSPIRENONE/ETHINYLESTRADIOL VIATRIS 3 mg/0,02 mg, comprimé pelliculé quand vous le souhaitez. Si vous ne souhaitez pas être enceinte, demandez à votre médecin de vous conseiller d'autres méthodes contraceptives fiables.
Si vous souhaitez être enceinte, cessez de prendre DROSPIRENONE/ETHINYLESTRADIOL VIATRIS 3 mg/0,02 mg, comprimé pelliculé et attendez votre prochain cycle menstruel avant d’essayer de tomber enceinte. Vous serez en mesure de prévoir plus facilement la date d’accouchement prévue.
Si vous avez d'autres questions sur l'utilisation de ce médicament, consultez votre médecin ou votre pharmacien.
4. QUELS SONT LES EFFETS INDESIRABLES EVENTUELS ?
Si vous ressentez un quelconque effet indésirable, en particulier si l’effet est sévère et persistant, ou si vous remarquez une modification de votre état de santé qui pourrait selon vous être due à DROSPIRENONE/ETHINYLESTRADIOL VIATRIS, informez-en votre médecin.
Il existe une augmentation du risque de caillots sanguins dans les veines (thrombo-embolie veineuse [TEV]) ou dans les artères (thrombo-embolie artérielle [TEA]) chez toutes les femmes qui prennent des contraceptifs hormonaux combinés. Pour plus de précisions sur les différents risques associés à la prise de contraceptifs hormonaux combinés, reportez-vous à la rubrique 2 « Quelles sont les informations à connaître avant d’utiliser DROSPIRENONE/ETHINYLESTRADIOL VIATRIS 3 mg/0,02 mg, comprimé pelliculé ? ».
Si un des effets indésirables suivants survient, vous pouvez nécessiter une surveillance médicale urgente. Arrêtez de prendre DROSPIRENONE/ETHINYLESTRADIOL VIATRIS et contactez un médecin ou allez immédiatement à l’hôpital le plus proche.
Peu fréquents (pouvant affecter jusqu’à 1 personne sur 100) :
· gonflement soudain de la face et/ou des membranes muqueuses (langue ou gorge), et/ou difficulté à avaler ou une urticaire associée à des difficultés pour respirer (angiœdème) ;
· caillots sanguins dans un poumon (embolie pulmonaire, EP).
Rares (pouvant affecter jusqu’à 1 personne sur 1 000) :
· caillots sanguins dans une veine ou une artère, par exemple :
o dans une jambe ou un pied (thrombose veineuse profonde, TVP),
o crise cardiaque,
o accident vasculaire cérébral (AVC),
o mini-AVC ou symptômes temporaires de type AVC, connus sous le nom d’accident ischémique transitoire (AIT),
o caillots sanguins dans le foie, l’estomac/l’intestin, les reins ou un œil.
Le risque d’apparition d’un caillot sanguin peut être plus élevé si vous présentez certains autres facteurs qui augmentent ce risque (voir rubrique 2 pour plus d’informations sur les facteurs augmentant le risque de caillots sanguins et les symptômes d’un caillot sanguin).
Situations qui peuvent survenir ou s’aggraver pendant la grossesse ou une utilisation précédente de pilule :
· lupus érythémateux systémique (LES, une maladie affectant le système immunitaire) ;
· inflammation du côlon ou d'autres parties de l'intestin (avec des signes tels que diarrhée sanglante, des douleurs lors du passage des selles, des douleurs dans l'abdomen) (maladie de Crohn et colite ulcéreuse) ;
· épilepsie ;
· myome utérin (tumeur non cancéreuse qui se développe dans le tissu musculaire de l'utérus) ;
· trouble de la pigmentation dans le sang (porphyrie)
· éruption de type cloque (herpes gestationis) pendant la grossesse ;
· chorée de Sydenham (une maladie des nerfs dans lequel les mouvements brusques du corps se produisent) ;
· certains troubles du sang qui provoquent des dommages aux reins (syndrome hémolytique et urémique, avec des symptômes tels que diminution du volume d’urine, sang dans l'urine, faible nombre de globules rouges, nausées, vomissements, confusion et diarrhée) ;
· jaunissement de la peau ou du blanc des yeux dû à l'obstruction dans le conduit biliaire (jaunisse chlolestatique).
En outre, il a été observé des cancers du sein (voir section 2 « DROSPIRENONE/ ETHINYLESTRADIOL VIATRIS 3 mg/0,02 mg, comprimé pelliculé et cancer »),des tumeurs bénignes et malignes du foie (avec des signes tels que gonflement de l'abdomen, la perte de poids, la fonction hépatique anormale qui peut être détecté par des tests sanguins) et des chloasmas (taches brunes jaunes sur la peau et en particulier sur le visage, appelées « masque de grossesse »), qui peuvent persister, surtout chez les femmes qui ont déjà eu un chloasma pendant la grossesse.
Contactez immédiatement un médecin si vous développer l'un des symptômes d’angiœdème suivants: gonflement du visage, de la langue et/ou de la gorge et/ou difficulté à avaler ou une urticaire avec éventuellement des difficultés à respirer (voir également la rubrique « Avertissements et précautions »).
Autres effets indésirables
Fréquents (pouvant affecter jusqu’à 1 personne sur 10) :
· modification de l'humeur ;
· maux de tête, douleur abdominale (douleurs à l'estomac) ;
· acné ;
· douleur mammaire, augmentation de la taille des seins, sensibilité mammaire, règles douloureuses ou irrégulières ;
· prise de poids.
Peu fréquents (pouvant affecter jusqu’à 1 personne sur 100) :
· candidose (mycose) ;
· bouton de fièvre (herpès simplex) ;
· réactions allergiques ;
· augmentation de l'appétit ;
· dépression, nervosité, troubles du sommeil ;
· sensation de picotements aux extrémités, étourdissements (vertiges) ;
· troubles visuels ;
· rythme cardiaque irrégulier ou accélération exceptionnelle du rythme ;
· pression sanguine élevée, pression sanguine basse, migraine, varices ;
· mal de gorge ;
· nausées, vomissements, inflammation de l'estomac et/ou des intestins, diarrhée, constipation ;
· perte de cheveux (alopécie), eczéma, démangeaisons, rash, peau sèche, troubles cutanés de type gras (dermite séborrhéique) ;
· douleur au niveau du cou et des membres, crampes musculaires ;
· infection de la vessie ;
· nodule dans les seins (bénin), production de lait en dehors d'une grossesse (galactorrhée), kystes des ovaires, bouffées de chaleur, absence de règles, règles très abondantes, sécrétions vaginales, infection ou inflammation vaginale, sécheresse vaginale, douleurs abdominales basses (douleurs pelviennes), frottis cervical douteux (test de dépistage), diminution du désir sexuel ;
· rétention d'eau, manque d'énergie, soif excessive, transpiration augmentée ;
· perte de poids ;
· douleur généralisée.
Rares (pouvant affecter jusqu’à 1 personne sur 1 000) :
· asthme ;
· altération de l'audition ;
· érythème noueux (caractérisé par des nodules cutanés rougeâtres et douloureux) ;
· érythème polymorphe (éruption cutanée avec lésions ou rougeurs en forme de « cible »).
Déclaration des effets secondaires
Si vous ressentez un quelconque effet indésirable, parlez-en à votre médecin, votre pharmacien ou à votre infirmier/ère. Ceci s’applique aussi à tout effet indésirable qui ne serait pas mentionné dans cette notice. Vous pouvez également déclarer les effets indésirables directement via le système national de déclaration : Agence nationale de sécurité du médicament et des produits de santé (ANSM) et réseau des Centres Régionaux de Pharmacovigilance - Site internet : https://signalement.social-sante.gouv.fr/.
En signalant les effets indésirables, vous contribuez à fournir davantage d’informations sur la sécurité du médicament.
5. COMMENT CONSERVER DROSPIRENONE/ETHINYLESTRADIOL VIATRIS 3 mg/0,02 mg, comprimé pelliculé ?
Tenir ce médicament hors de la vue et de la portée des enfants.
N’utilisez pas ce médicament après la date de péremption indiquée sur la boîte après « Ne pas utiliser après » ou {EXP}. La date de péremption fait référence au dernier jour de ce mois.
Pas de précautions particulières de conservation.
Ne jetez aucun médicament au tout-à-l’égout ou avec les ordures ménagères. Demandez à votre pharmacien d’éliminer les médicaments que vous n’utilisez plus. Ces mesures contribueront à protéger l’environnement.
6. CONTENU DE L’EMBALLAGE ET AUTRES INFORMATIONS
Ce que contient DROSPIRENONE/ETHINYLESTRADIOL VIATRIS 3 mg/0,02 mg, comprimé pelliculé
· Les substances actives sont : éthinylestradiol (0,02 mg) et drospirénone (3 mg).
· Les autres composants sont :
Noyau : lactose monohydraté, amidon de maïs prégélatinisé, povidone, croscarmellose de sodium, polysorbate 80, stéarate de magnésium.
Pelliculage : alcool polyvinylique partiellement hydrolysé, dioxyde de titane (E171), macrogol 3350, talc, oxyde de fer jaune (E172), oxyde de fer rouge (E172), oxyde de fer noir (E172).
Comprimé pelliculé rose et rond.
DROSPIRENONE/ETHINYLESTRADIOL VIATRIS 3 mg/0,02 mg, comprimé pelliculé est disponible en boîtes de 1, 2, 3, 6 et 13 plaquettes de 21 comprimés.
Toutes les présentations peuvent ne pas être commercialisées.
Titulaire de l’autorisation de mise sur le marché
114 RUE GALLIENI
92100 BOULOGNE BILLANCOURT
Exploitant de l’autorisation de mise sur le marché
1 RUE DE TURIN
69007 LYON
C/ LA VALLINA, S/N
POLIGONO INDUSTRIAL NAVATEJERA
VILLAQUILAMBRE 24193 (LEON)
ESPAGNE
Noms du médicament dans les Etats membres de l'Espace Economique Européen
Ce médicament est autorisé dans les Etats membres de l'Espace Economique Européen sous les noms suivants : Conformément à la réglementation en vigueur.
[À compléter ultérieurement par le titulaire]
La dernière date à laquelle cette notice a été révisée est :
[à compléter ultérieurement par le titulaire]
Des informations détaillées sur ce médicament sont disponibles sur le site Internet de l’ANSM (France).