RÉSUMÉ DES CARACTÉRISTIQUES DU PRODUIT
ANSM - Mis à jour le : 27/10/2025
DESOBEL 150 microgrammes/20 microgrammes, comprimé
2. COMPOSITION QUALITATIVE ET QUANTITATIVE
Désogestrel......................................................................................................................... 150 µg
Ethinylestradiol ..................................................................................................................... 20 µg
Pour un comprimé
Excipient(s) à effet notoire : lactose
Pour la liste complète des excipients, voir rubrique 6.1.
4.1. Indications thérapeutiques
La décision de prescrire DESOBEL doit etre prise en tenant compte des facteurs de risque de la patiente, notamment ses facteurs de risque de thrombo-embolie veineuse (TEV), ainsi que du risque de TEV associé à DESOBEL en comparaison aux autres CHC (Contraceptifs Hormonaux Combinés) (voir rubrique 4.3 et 4.4)
4.2. Posologie et mode d'administration
Les comprimés doivent être pris selon l’ordre indiqué sur la plaquette, chaque jour au même moment de la journée (éventuellement avec un peu d’eau). Un comprimé doit être pris chaque jour pendant 21 jours consécutifs suivis d’un arrêt de 7 jours entre chaque plaquette. Une hémorragie de privation débute habituellement 2 à 3 jours après la prise du dernier comprimé et peut se poursuivre après le début de la plaquette suivante.
Mode d’administration
Modalités d’instauration du traitement par DESOBEL
· Absence de contraception hormonale le mois précédent :
Prendre le 1er comprimé le 1er jour des règles.
· Relais d'une autre méthode contraceptive estroprogestative (contraceptif oral combiné (COC), anneau vaginal ou système transdermique (patch)) :
Prendre de préférence le 1er comprimé de DESOBEL le jour suivant la prise du dernier comprimé actif du contraceptif précédent ou au plus tard le jour qui suit la période habituelle d'arrêt des comprimés ou de prise de comprimés placebo. En relais d’un anneau vaginal ou d’un patch, prendre le 1er comprimé de DESOBEL de préférence le jour du retrait ou au plus tard le jour prévu pour la nouvelle pose.
· Relais d’une contraception progestative seule (pilule microdosée, forme injectable, implant) ou d’un système intra-utérin (SIU) contenant un progestatif :
Le relais d’une contraception microdosée peut se faire à tout moment du cycle et DESOBEL devra être débuté le lendemain de l’arrêt. Le relais d’un implant ou d’un SIU contenant un progestatif se fait le jour du retrait, ou le jour prévu pour la nouvelle injection s’il s’agit du relais d’un contraceptif injectable. Dans tous les cas, il est recommandé d’utiliser une méthode complémentaire de contraception non hormonale pendant les 7 premiers jours de traitement.
· Après une interruption de grossesse du premier trimestre :
Il est possible de débuter DESOBEL immédiatement. Il n’est pas nécessaire d’utiliser une méthode complémentaire de contraception.
· Après un accouchement ou après une interruption de grossesse du deuxième trimestre :
Le post-partum immédiat étant associé à une augmentation du risque thrombo-embolique, les contraceptifs oraux estroprogestatifs ne doivent pas être débutés moins de 21 à 28 jours après un accouchement ou une interruption de grossesse du deuxième trimestre. Si le traitement est débuté plus de 28 jours après un accouchement ou une interruption de grossesse du deuxième trimestre, il est recommandé d’utiliser une méthode complémentaire de contraception de type mécanique pendant les 7 premiers jours de traitement. Cependant, si des rapports sexuels ont déjà eu lieu, il convient de s’assurer de l’absence de grossesse avant le début de prise de contraceptif oral estroprogestatif ou d’attendre les premières règles.
En cas d’allaitement : voir rubrique 4.6.
|
Cas d'oubli d'un ou de plusieurs comprimés. |
L'oubli d'un comprimé expose à un risque de grossesse.
La sécurité contraceptive peut être diminuée en cas d’oubli particulièrement si cet oubli augmente l’intervalle de temps entre le dernier comprimé de la plaquette en cours et le 1er comprimé de la plaquette suivante.
Si l'oubli d’un comprimé est constaté dans les 12 heures qui suivent l'heure habituelle de la prise, prendre immédiatement le comprimé oublié, et poursuivre la prise du COC normalement en prenant le comprimé suivant à l'heure habituelle.
Si l'oubli d’un comprimé est constaté plus de 12 heures après l'heure normale de la prise, l’efficacité contraceptive peut être réduite. En cas d'oubli de comprimés, les deux règles suivantes doivent être connues car nécessaires pour choisir la conduite à tenir :
1. L’intervalle entre 2 plaquettes ne doit jamais dépasser 7 jours ;
2. Sept jours de prise ininterrompue du traitement sont nécessaires afin d’obtenir une inhibition correcte de l'axe hypothalamo-hypophyso-ovarien.
En conséquence, les conseils suivants pourront être donnés dans le cadre de la pratique quotidienne :
· Semaine 1
Il devra être demandé aux femmes de prendre le dernier comprimé oublié dès que l'oubli est constaté, même si cela implique la prise de deux comprimés en même temps.
Les comprimés suivants devront être pris à l'heure habituelle. Une contraception mécanique complémentaire (préservatifs par exemple) est cependant nécessaire pendant les 7 jours suivants. Si des rapports sexuels ont eu lieu au cours des 7 jours précédant l’oubli, il existe un risque de grossesse.
Le risque de grossesse est d'autant plus élevé que le nombre de comprimés oubliés est important ou que la date de l'oubli est proche de l’intervalle habituel sans prise de comprimé.
· Semaine 2
Il devra être recommandé aux femmes de prendre le dernier comprimé oublié dès que l’oubli est constaté, même si cela implique la prise de deux comprimés en même temps.
Les comprimés suivants devront être pris à l'heure habituelle.
Si les comprimés ont été pris correctement au cours des 7 jours précédant le premier comprimé oublié, aucune mesure contraceptive complémentaire n'est nécessaire. Cependant, en cas d'oubli de plusieurs comprimés, il devra être recommandé aux femmes de prendre des précautions complémentaires pendant 7 jours.
· Semaine 3
Le risque de diminution de l'activité contraceptive est maximal en raison de la proximité de l’arrêt de 7 jours. Il est cependant possible d'empêcher la diminution de l'effet contraceptif en ajustant comme suit les modalités de prise des comprimés :
· Si la femme a pris correctement tous les comprimés pendant les 7 jours précédant l'oubli d'un comprimé, aucune mesure contraceptive complémentaire n'est nécessaire. Il est possible de suivre l'un des 2 schémas de prise décrits ci-dessous.
· Dans le cas contraire, il devra être recommandé aux femmes de suivre le premier schéma de prise et d'utiliser une méthode contraceptive complémentaire pendant les 7 jours suivants :
o Schéma 1 :
Il sera recommandé aux femmes de prendre le dernier comprimé oublié dès que cet oubli est constaté, même si deux comprimés doivent être pris en même temps. Les comprimés suivants seront ensuite pris à l'heure habituelle. La plaquette suivante doit être commencée dès la fin de la précédente, c'est-à-dire sans arrêt entre les deux plaquettes. Une hémorragie de privation est peu probable avant la fin de la seconde plaquette, mais des spottings (gouttes ou taches de sang) ou des métrorragies peuvent être observées pendant la durée de prise des comprimés.
o Schéma 2 :
Un arrêt de la prise des comprimés de la plaquette en cours peut alternativement être conseillé aux femmes dans cette situation. Dans ce cas, un arrêt de 7 jours maximum, incluant le nombre de jours où des comprimés ont été oubliés, devra être respecté avant de commencer la plaquette suivante.
Chez une femme ayant oublié de prendre un (des) comprimé(s), l'absence d'hémorragie de privation entre les deux plaquettes devra faire rechercher une éventuelle grossesse.
Conduite à tenir en cas de troubles gastro-intestinaux :
En cas de troubles gastro-intestinaux sévères (par exemple des vomissements ou une diarrhée), l’absorption d’un comprimé peut ne pas être complète et des mesures contraceptives complémentaires doivent donc être prises.
Si des vomissements se produisent dans les 3-4 heures suivant la prise du comprimé, un nouveau comprimé doit être pris en remplacement dès que possible. Le nouveau comprimé doit être pris si possible dans les 12 heures qui suivent l'heure habituelle de prise. Si plus de 12 heures se sont écoulées, les mêmes consignes que celles données pour les oublis de comprimés doivent s'appliquer (voir rubrique 4.2. «Cas d'oubli d'un ou plusieurs comprimés»).
Dans le cas d’épisodes prolongés, une autre méthode contraceptive fiable doit être envisagée.
En cas de survenue pour la première fois de l’une de ces pathologies lors de la prise d’un CHC, interrompre immédiatement le traitement :
· Présence ou risque de thrombo-embolie veineuse (TEV)
o Thrombo-embolie veineuse – présence de TEV (patiente traitée par des anticoagulants) ou antécédents de TEV (p. ex. thrombose veineuse profonde [TVP] ou embolie pulmonaire [EP]).
o Prédisposition connue, héréditaire ou acquise, à la thrombo-embolie veineuse, telle qu’une résistance à la protéine C activée (PCa) (y compris une mutation du facteur V de Leiden), un déficit en antithrombine III, un déficit en protéine C, un déficit en protéine S.
o Intervention chirurgicale majeure avec immobilisation prolongée (voir rubrique 4.4).
o Risque élevé de thrombo-embolie veineuse dû à la présence de multiples facteurs de risque (voir rubrique 4.4).
· Présence ou risque de thrombo-embolie artérielle (TEA)
o Thrombo-embolie artérielle – présence ou antécédents de thrombo-embolie artérielle (p. ex. infarctus du myocarde [IM]) ou de prodromes (p. ex. angine de poitrine).
o Affection cérébrovasculaire – présence ou antécédents d’accident vasculaire cérébral (AVC) ou de prodromes (p. ex. accident ischémique transitoire [AIT]).
o Prédisposition connue, héréditaire ou acquise, à la thrombo-embolie artérielle, telle qu’une hyperhomocystéinémie ou la présence d’anticorps anti-phospholipides (anticorps anti-cardiolipine, anticoagulant lupique).
o Antécédents de migraine avec signes neurologiques focaux.
o Risque élevé de thrombo-embolie artérielle dû à la présence de multiples facteurs de risque (voir rubrique 4.4) ou d’un facteur de risque sévère tel que :
§ diabète avec symptômes vasculaires ;
§ hypertension artérielle sévère ;
§ dyslipoprotéinémie sévère.
· Pancréatite ou antécédent de pancréatite associée à une hypertriglycéridémie sévère.
· Présence ou antécédent d’affection hépatique sévère tant que les paramètres de la fonction hépatique ne sont pas normalisés.
· Tumeur hépatique (bénigne ou maligne) évolutive ou ancienne.
· Tumeur maligne hormono-dépendante connue ou suspectée (exemple: organes génitaux ou seins).
· Hyperplasie endométriale.
· Hémorragies génitales non diagnostiquées.
· Hypersensibilité aux substances actives ou à l’un des excipients listés en rubrique 6.1.
· DESOBEL est contre-indiquée en association avec le millepertuis, lors de l’utilisation concomitante de médicaments contenant de l'ombistavir/paritaprévir/ ritonavir et dasabuvir, ou de médicaments contenant du glécaprévir/pibrentasvir ou sofosbuvir/velpatasvir/voxilaprévir (voir 4.5).
4.4. Mises en garde spéciales et précautions d'emploi
Si la patiente présente l’un des troubles ou l’un des facteurs de risque mentionnés ci-dessous, la pertinence du traitement par DESOBEL doit être discutée avec elle.
En cas d’aggravation ou de survenue de l’un de ces troubles ou facteurs de risque, la nécessité d’interrompre l’utilisation de DESOBEL doit être discutée entre le médecin et la patiente. Troubles circulatoires :
Risque de thrombo-embolie veineuse (TEV)
Le risque de TEV est augmenté chez les femmes qui utilisent un contraceptif hormonal combiné (CHC) en comparaison aux femmes qui n’en utilisent pas. Les CHC contenant du lévonorgestrel, du norgestimate ou de la noréthistérone sont associés au risque de TEV le plus faible. Le risque de TEV associé aux autres CHC, tels que DESOBEL, peut être jusqu’à deux fois plus élevé. La décision d’utiliser tout autre CHC que ceux associés au risque de TEV le plus faible doit être prise uniquement après concertation avec la patiente afin de s’assurer qu’elle comprend le risque de TEV associé à DESOBEL, l’influence de ses facteurs de risque actuels sur ce risque et le fait que le risque de TEV est maximal pendant la première année d’utilisation. Certaines données indiquent également une augmentation du risque lors de la reprise d’un CHC après une interruption de 4 semaines ou plus.
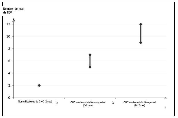
Parmi les femmes qui n’utilisent pas de CHC et qui ne sont pas enceintes, environ 2 sur 10 000 développeront une TEV sur une période d’un an. Cependant, chez une femme donnée, le risque peut être considérablement plus élevé, selon les facteurs de risque qu’elle présente (voir ci-dessous).
On estime1 que sur 10 000 femmes qui utilisent un CHC contenant du désogestrel, 9 à 12 développeront une TEV sur une période d’un an ; ce nombre est à comparer à celui d’environ 62 chez les femmes qui utilisent un CHC contenant du lévonorgestrel.
Dans les deux cas, le nombre de TEV par année est inférieur à celui attendu pendant la grossesse ou en période post-partum.
La TEV peut être fatale dans 1 à 2 % des cas.
---------------------------------------------------------------------------------
1Ces incidences ont été estimées à partir de l’ensemble des données des études épidémiologiques, en s’appuyant sur les risques relatifs liés aux différents CHC en comparaison aux CHC contenant du lévonorgestrel.
2Point central de l’intervalle de 5-7 pour 10 000 années-femmes sur la base d’un risque relatif, pour les CHC contenant du lévonorgestrel par rapport à la non-utilisation d’un CHC, d’environ 2,3 à 3,6
Nombre de cas de TEV pour 10 000 femmes sur une période d’un an

De façon extrêmement rare, des cas de thrombose ont été signalés chez des utilisatrices de CHC dans d’autres vaisseaux sanguins, p. ex. les veines et artères hépatiques, mésentériques, rénales ou rétiniennes.
Facteurs de risque de TEV
Le risque de complications thrombo-emboliques veineuses chez les utilisatrices de CHC peut être considérablement accru si d’autres facteurs de risque sont présents, en particulier si ceux-ci sont multiples (voir le tableau ci-dessous).
DESOBEL est contre-indiqué chez les femmes présentant de multiples facteurs de risque, ceux-ci les exposant à un risque élevé de thrombose veineuse (voir rubrique 4.3).
Lorsqu’une femme présente plus d’un facteur de risque, il est possible que l’augmentation du risque soit supérieure à la somme des risques associés à chaque facteur pris individuellement – dans ce cas, le risque global de TEV doit être pris en compte. Si le rapport bénéfice/risque est jugé défavorable, le CHC ne doit pas être prescrit (voir rubrique 4.3).
Tableau : Facteurs de risque de TEV
|
Facteur de risque |
Commentaire |
|
Obésité (indice de masse corporelle supérieur à 30 kg/m²) |
L’élévation de l’IMC augmente considérablement le risque. Ceci est particulièrement important à prendre en compte si d’autres facteurs de risque sont présents. |
|
Immobilisation prolongée, intervention chirurgicale majeure, toute intervention chirurgicale sur les jambes ou le bassin, neurochirurgie ou traumatisme majeur
Remarque : l’immobilisation temporaire, y compris les trajets aériens > 4 heures, peut également constituer un facteur de risque de TEV, en particulier chez les femmes présentant d’autres facteurs de risque |
Dans ces situations, il est conseillé de suspendre l’utilisation de la pilule (au moins quatre semaines à l’avance en cas de chirurgie programmée) et de ne reprendre le CHC que deux semaines au moins après la complète remobilisation. Une autre méthode de contraception doit être utilisée afin d’éviter une grossesse non désirée. Un traitement anti-thrombotique devra être envisagé si DESOBEL n’a pas été interrompu à l’avance. |
|
Antécédents familiaux (thrombo-embolie veineuse survenue dans la fratrie ou chez un parent, en particulier à un âge relativement jeune, c.-à-d. avant 50 ans) |
En cas de prédisposition héréditaire suspectée, la femme devra être adressée à un spécialiste pour avis avant toute décision concernant l’utilisation de CHC |
|
Autres affections médicales associées à la TEV |
Cancer, lupus érythémateux disséminé, syndrome hémolytique et urémique, maladies inflammatoires chroniques intestinales (maladie de Crohn ou rectocolite hémorragique) et drépanocytose |
|
Âge |
En particulier au-delà de 35 ans |
Il n’existe aucun consensus quant au rôle éventuel joué par les varices et les thrombophlébites superficielles dans l’apparition ou la progression d’une thrombose veineuse.
L’augmentation du risque de thrombo-embolie pendant la grossesse, et en particulier pendant les 6 semaines de la période puerpérale, doit être prise en compte (pour des informations concernant « Grossesse et allaitement », voir rubrique 4.6).
Symptômes de TEV (thrombose veineuse profonde et embolie pulmonaire)
Les femmes doivent être informées qu’en cas d’apparition de ces symptômes, elles doivent consulter un médecin en urgence et lui indiquer qu’elles utilisent un CHC.
Les symptômes de la thrombose veineuse profonde (TVP) peuvent inclure :
· gonflement unilatéral d’une jambe et/ou d’un pied ou le long d’une veine de la jambe ;
· douleur ou sensibilité dans une jambe, pouvant n’être ressentie qu’en position debout ou lors de la marche ;
· sensation de chaleur, rougeur ou changement de la coloration cutanée de la jambe affectée.
Les symptômes de l’embolie pulmonaire (EP) peuvent inclure :
· apparition soudaine et inexpliquée d’un essoufflement ou d’une accélération de la respiration ;
· toux soudaine, pouvant être associée à une hémoptysie ;
· douleur thoracique aiguë ;
· étourdissements ou sensations vertigineuses sévères ;
· battements cardiaques rapides ou irréguliers.
Certains de ces symptômes (p. ex. « essoufflement », « toux ») ne sont pas spécifiques et peuvent être interprétés à tort comme des signes d’événements plus fréquents ou moins sévères (infections respiratoires, p. ex.).
Les autres signes d’une occlusion vasculaire peuvent inclure : douleur soudaine, gonflement et coloration légèrement bleutée d’une extrémité.
Si l’occlusion se produit dans l’œil, les symptômes peuvent débuter sous la forme d’une vision trouble indolore pouvant évoluer vers une perte de la vision. Dans certains cas, la perte de la vision peut survenir presque immédiatement.
Risque de thrombo-embolie artérielle (TEA)
Des études épidémiologiques ont montré une association entre l’utilisation de CHC et l’augmentation du risque de thrombo-embolie artérielle (infarctus du myocarde) ou d’accident cérébrovasculaire (p. ex. accident ischémique transitoire, AVC). Les événements thrombo-emboliques artériels peuvent être fatals.
Facteurs de risque de TEA
Le risque de complications thrombo-emboliques artérielles ou d’accident cérébrovasculaire chez les utilisatrices de CHC augmente avec la présence de facteurs de risque (voir le tableau). DESOBEL est contre-indiqué chez les femmes présentant un facteur de risque sévère ou de multiples facteurs de risque de TEA qui les exposent à un risque élevé de thrombose artérielle (voir rubrique 4.3).
Lorsqu’une femme présente plus d’un facteur de risque, il est possible que l’augmentation du risque soit supérieure à la somme des risques associés à chaque facteur pris individuellement – dans ce cas, le risque global doit être pris en compte. Si le rapport bénéfice/risque est jugé défavorable, le CHC ne doit pas être prescrit (voir rubrique 4.3).
Tableau : Facteurs de risque de TEA
|
Facteur de risque |
Commentaire |
|
Âge |
En particulier au-delà de 35 ans |
|
Tabagisme |
Il doit être conseillé aux femmes de ne pas fumer si elles souhaitent utiliser un CHC. Il doit être fortement conseillé aux femmes de plus de 35 ans qui continuent de fumer d’utiliser une méthode de contraception différente. |
|
Hypertension artérielle |
|
|
Obésité (indice de masse corporelle supérieur à 30 kg/m2) |
L’élévation de l’IMC augmente considérablement le risque. Ceci est particulièrement important à prendre en compte chez les femmes présentant d’autres facteurs de risque. |
|
Antécédents familiaux (thrombo-embolie artérielle survenue dans la fratrie ou chez un parent, en particulier à un âge relativement jeune, c.-à-d. avant 50 ans) |
En cas de prédisposition héréditaire suspectée, la femme devra être adressée à un spécialiste pour avis avant toute décision concernant l’utilisation de CHC. |
|
Migraine |
L’accroissement de la fréquence ou de la sévérité des migraines lors de l’utilisation d’un CHC (qui peut être le prodrome d’un événement cérébrovasculaire) peut constituer un motif d’arrêt immédiat du CHC. |
|
Autres affections médicales associées à des événements indésirables vasculaires |
Diabète, hyperhomocystéinémie, valvulopathie cardiaque et fibrillation auriculaire, dyslipoprotéinémie et lupus érythémateux disséminé |
Symptômes de TEA
Les femmes doivent être informées qu’en cas d’apparition de ces symptômes, elles doivent consulter un médecin en urgence et lui indiquer qu’elles utilisent un CHC.
Les symptômes d’un accident cérébrovasculaire peuvent inclure :
· apparition soudaine d’un engourdissement ou d’une faiblesse du visage, d’un bras ou d’une jambe, en particulier d’un côté du corps ;
· apparition soudaine de difficultés à marcher, de sensations vertigineuses, d’une perte d’équilibre ou de coordination ;
· apparition soudaine d’une confusion, de difficultés à parler ou à comprendre ;
· apparition soudaine de difficultés à voir d’un œil ou des deux yeux ;
· céphalée soudaine, sévère ou prolongée, sans cause connue ;
· perte de conscience ou évanouissement avec ou sans crise convulsive.
Des symptômes temporaires suggèrent qu’il s’agit d’un accident ischémique transitoire (AIT).
Les symptômes de l’infarctus du myocarde (IM) peuvent inclure :
· douleur, gêne, pression, lourdeur, sensation d’oppression ou d’encombrement dans la poitrine, le bras ou sous le sternum ;
· sensation de gêne irradiant vers le dos, la mâchoire, la gorge, le bras, l’estomac ;
· sensation d’encombrement, d’indigestion ou de suffocation ;
· transpiration, nausées, vomissements ou sensations vertigineuses ;
· faiblesse, anxiété ou essoufflement extrêmes ;
· battements cardiaques rapides ou irréguliers.
Cancers
Certaines études épidémiologiques suggèrent que les contraceptifs estroprogestatifs pourraient être associés à une augmentation du risque de cancer du col de l'utérus chez les utilisatrices de COC à long terme (> 5 ans). Il n'est cependant pas établi si ces pathologies sont dues à d'autres facteurs comme le comportement sexuel et le papillomavirus virus humain (HPV).
Une méta-analyse de 54 études épidémiologiques a conclu qu'il existe une légère augmentation du risque relatif (RR = 1,24) de cancer du sein chez les femmes sous contraception estroprogestative. Cette majoration du risque disparaît progressivement au cours des 10 ans qui suivent l’arrêt d'une contraception estroprogestative.
Le cancer du sein étant rare chez les femmes de moins de 40 ans, le nombre plus élevé de cancers diagnostiqués chez les utilisatrices habituelles ou nouvelles utilisatrices d'une contraception orale reste faible par rapport au risque global de cancer du sein.
Ces études ne permettent pas d'établir une relation de causalité. Il est possible que, chez les utilisatrices de contraception estroprogestative, cette augmentation du risque soit due à un diagnostic plus précoce du cancer du sein, aux effets biologiques de cette contraception ou à l'association des deux. Les cancers du sein diagnostiqués chez les utilisatrices ont tendance à être moins évolués cliniquement par rapport à ceux diagnostiqués chez des femmes n'en ayant jamais utilisé.
Dans de rares cas, des tumeurs bénignes du foie, et dans de plus rares cas encore, des tumeurs malignes du foie ont été rapportées chez des utilisatrices de contraceptifs estroprogestatifs. Dans des cas isolés, ces tumeurs ont conduit à des hémorragies intra-abdominales mettant en jeu le pronostic vital. Chez les femmes sous contraceptifs oraux, la survenue de douleurs de la partie supérieure de l'abdomen, d'augmentation du volume du foie ou de signes d'hémorragie intra-abdominale doit faire évoquer une tumeur hépatique.
L’utilisation de contraceptifs estroprogestatifs plus fortement dosés (50 µg éthinylestradiol) diminue le risque de cancer de l’endomètre et de l’ovaire. Ceci demande à être confirmé avec les contraceptifs estroprogestatifs plus faiblement dosés.
Autres pathologies
Chez les femmes atteintes d'hypertriglycéridémie ou ayant des antécédents familiaux d'hypertriglycéridémie, un risque accru de pancréatite peut survenir en cas d’utilisation d'une contraception estroprogestative.
Une augmentation modérée de la pression artérielle a été observée chez de nombreuses femmes sous contraception estroprogestative : rarement cliniquement significative. Une interruption immédiate de la contraception orale n’est justifiée que dans ces rares cas.
La persistance de chiffres tensionnels élevés ou le non contrôle des chiffres tensionnels par un traitement antihypertenseur chez une femme hypertendue prenant une contraception estroprogestative doit faire interrompre celle-ci.
Cette contraception pourra éventuellement être reprise après normalisation des chiffres tensionnels par un traitement antihypertenseur.
La survenue ou l'aggravation des pathologies suivantes a été observée au cours de la grossesse ou chez des femmes prenant des contraceptifs estroprogestatifs, bien que la responsabilité des estroprogestatifs n'ait pu être établie : ictère et/ou prurit dû à une cholestase, lithiase biliaire, porphyrie, lupus érythémateux disséminé, syndrome hémolytico-urémique, chorée de Sydenham, herpès gravidique, hypoacousie par otosclérose.
Les œstrogènes exogènes peuvent déclencher ou aggraver les symptômes d’un angio-oedème héréditaire ou acquis.
La survenue d'anomalies hépatiques aiguës ou chroniques peut nécessiter l'arrêt des contraceptifs estroprogestatifs jusqu'à la normalisation des paramètres hépatiques.
La récidive d'un ictère cholestatique et/ou d'un prurit liés à une cholestase survenue au cours d'une grossesse précédente ou de la prise antérieure d'hormones stéroïdiennes doit faire arrêter les contraceptifs estroprogestatifs.
Les contraceptifs estroprogestatifs peuvent avoir un effet sur la résistance périphérique à l'insuline et la tolérance au glucose ; il n'est cependant pas obligatoire de modifier le traitement chez des diabétiques utilisant une contraception estroprogestative faiblement dosée (contenant moins de 0,05 mg d'éthinylestradiol). Les femmes diabétiques doivent cependant être étroitement surveillées, en particulier lors de l'instauration d'une contraception estroprogestative.
Des cas d'aggravations de dépression endogène, d'épilepsie, de maladie de Crohn et de rectocolite hémorragique ont été observés sous contraceptifs estroprogestatifs.
Un chloasma peut survenir, en particulier chez les femmes ayant des antécédents de chloasma gravidique. Les femmes ayant une prédisposition au chloasma sous contraceptifs estroprogestatifs doivent éviter de s'exposer au soleil ou aux rayons ultra-violets.
L’état dépressif et la dépression sont des effets indésirables bien connus liés à l’utilisation de contraceptifs hormonaux (voir rubrique 4.8). La dépression peut être grave et constitue un facteur de risque bien connu de comportement suicidaire et de suicide. Il convient de conseiller aux femmes de contacter leur médecin en cas de changements d’humeur et de symptômes dépressifs, y compris peu de temps après le début du traitement.
Ce médicament contient du lactose. Les patients présentant une intolérance au galactose, un déficit total en lactase ou un syndrome de malabsorption du glucose et du galactose (maladies héréditaires rares) ne doivent pas prendre ce médicament.
Consultation/examen médical
Avant l’instauration ou la reprise d’un traitement par DESOBEL, une recherche complète des antécédents médicaux (y compris les antécédents familiaux) doit être effectuée et la présence d’une grossesse doit être exclue. La pression artérielle doit être mesurée et un examen physique doit être réalisé, en ayant à l’esprit les contre-indications (voir rubrique 4.3) et les mises en garde (voir rubrique 4.4). Il est important d’attirer l’attention des patientes sur les informations relatives à la thrombose veineuse et artérielle, y compris le risque associé à DESOBEL comparé à celui associé aux autres CHC, les symptômes de la TEV et de la TEA, les facteurs de risque connus et la conduite à tenir en cas de suspicion de thrombose.
Il doit également être indiqué aux patientes de lire attentivement la notice et de suivre les conseils fournis. La fréquence et la nature des examens doivent être définies sur la base des recommandations en vigueur et adaptées à chaque patiente.
Les patientes doivent être averties que les contraceptifs hormonaux ne protègent pas contre l’infection par le VIH (SIDA) et les autres maladies sexuellement transmissibles.
Diminution de l’efficacité :
L'efficacité de DESOBEL peut être diminuée en cas d'oubli de comprimés (voir rubrique 4.2), de troubles gastro-intestinaux (voir rubrique 4.2) ou de prise concomitante de traitements qui diminuent la concentration plasmatique d’éthinylestradiol et/ou d’étonogestrel, métabolite actif du désogestrel (voir rubrique 4.5).
Troubles du cycle :
Des saignements irréguliers (« spottings » ou métrorragies) peuvent survenir sous contraceptifs estroprogestatifs, en particulier au cours des premiers mois. Ces saignements irréguliers seront considérés comme significatifs s'ils persistent après environ 3 cycles.
Si les saignements irréguliers persistent ou surviennent après des cycles réguliers, une recherche étiologique non hormonale doit alors être effectuée; des examens diagnostiques appropriés doivent être pratiqués afin d'exclure une tumeur maligne ou une grossesse. Ces examens peuvent comporter un curetage.
Chez certaines femmes, les hémorragies de privation peuvent ne pas survenir au cours de l'intervalle libre. Si la contraception orale a été suivie telle que décrite dans la rubrique 4.2, il est peu probable que la femme soit enceinte. Cependant, si la contraception orale n'a pas été suivie correctement avant l’absence de la première hémorragie de privation ou si deux hémorragies de privation successives ne se produisent pas, il convient de s'assurer de l'absence de grossesse avant de poursuivre cette contraception.
4.5. Interactions avec d'autres médicaments et autres formes d'interactions
Note : les informations concernant les médicaments prescrits en association doivent être consultées afin d’identifier les interactions éventuelles.
Effets d’autres médicaments sur DESOBEL :
Des interactions peuvent se produire avec les médicaments ou les produits à base de plantes inducteurs des enzymes microsomales, spécifiquement les enzymes du cytochrome P450 (CYP), pouvant conduire à une augmentation de la clairance des hormones sexuelles et entraîner des saignements irréguliers et/ou des échecs contraceptifs.
Conduite à tenir
Une induction enzymatique peut déjà être observée après quelques jours de traitement. L’induction enzymatique maximale est généralement observée au bout de quelques semaines. Après l'arrêt du traitement, l’induction enzymatique peut perdurer environ 4 semaines.
Traitement à court terme
Les femmes traitées par des médicaments ou produits à base de plantes inducteurs enzymatiques, doivent utiliser temporairement une méthode barrière ou une autre méthode de contraception en complément de DESOBEL. La méthode barrière doit être utilisée pendant toute la durée du traitement concomitant et pendant les 28 jours après son arrêt.
Traitement à long terme
Chez les femmes prenant à long terme un traitement ayant un effet inducteur sur les enzymes hépatiques, une autre méthode de contraception fiable, non hormonale et non affectée par des médicaments inducteurs enzymatique est recommandée.
Les interactions suivantes ont été rapportées dans la littérature.
Substances augmentant la clairance de DESOBEL (induction enzymatique), par exemple
la phénytoïne, le phénobarbital, la primidone, le bosentan, la carbamazépine, la rifampicine, certains inhibiteurs de la protéase du VIH (ex. ritonavir) et les inhibiteurs non nucléosidiques de la transcriptase inverse (ex. éfavirenz, névirapine), et potentiellement aussi l’oxcarbazépine, le topiramate, la rifabutine, le felbamate, la griséofulvine, le modafinil, le vemurafenib, le perampanel, le rufinamide ainsi que les produits contenant du millepertuis.
Substances ayant des effets variables sur la clairance de DESOBEL
Lors de l’administration concomitante avec des contraceptifs hormonaux, de nombreuses associations d’inhibiteurs de la protéase du VIH et d’inhibiteurs non nucléosidiques de la transcriptase inverse, et/ou des associations avec des médicaments contre le virus de l'hépatite C (VHC) (ex. bocéprévir, télaprévir), peuvent augmenter ou diminuer les concentrations plasmatiques des progestatifs, y compris l’étonogestrel, ou des estrogènes. Dans certains cas, l'impact de ces modifications peut être cliniquement significatif.
Par conséquent, les informations et les recommandations concernant les médicaments prescrits contre VIH / VHC en association doivent être consultées afin d’identifier les interactions éventuelles. En cas de doute, une méthode contraceptive barrière supplémentaire devrait être utilisée par les femmes traitées par un inhibiteur de la protéase ou un inhibiteur non nucléosidique de la transcriptase inverse.
Substances diminuant la clairance de DESOBEL (inhibition enzymatique)
La pertinence clinique des interactions potentielles avec les inhibiteurs enzymatiques reste inconnue. L’administration concomitante d’inhibiteurs du CYP3A4 puissants (par exemple, kétoconazole, itraconazole, clarithromycine) ou modérés (par exemple, fluconazole, diltiazem, érythromycine) peut augmenter les concentrations sériques des estrogènes ou des progestatifs, y compris l’étonogestrel.
L’administration d'étoricoxib à des doses de 60 mg à 120 mg par jour a entrainé une augmentation des concentrations plasmatiques d'éthinylestradiol de 1,4 à 1,6 fois, respectivement, lors d’une prise concomitante avec un contraceptif hormonal combiné contenant 0,035 mg d'éthinylestradiol.
Effets de DESOBEL sur d'autres médicaments :
Les contraceptifs hormonaux COC peuvent interférer avec le métabolisme d'autres médicaments. En conséquent, les concentrations plasmatiques et tissulaires peuvent soit augmenter (ex. ciclosporine) soit diminuer (ex. lamotrigine).
Les données cliniques suggèrent que l'éthinylestradiol inhibe la clairance des substrats du CYP1A2 conduisant à une augmentation faible (par exemple la théophylline) ou modérée (par exemple, la tizanidine) de leur concentration plasmatique
Interactions pharmacodynamiques :
Au cours des essais cliniques menés chez des patients traités pour une infection par le virus de l'hépatite C (VHC) et recevant des médicaments contenant ombitasvir/paritaprevir/ritonavir et dasabuvir, avec ou sans ribavirine, il a été observé des augmentations de transaminase (ALAT) supérieures à 5 fois la limite supérieure de la normale (LSN), significativement plus fréquentes chez les femmes utilisant des médicaments contenant de l'éthinylestradiol, tel que les contraceptifs hormonaux combinés (CHC). De plus, chez des patients traités par le glecaprevir/pibrentasvir ou sofosbuvir/velpatasvir/voxilaprevir, des augmentations des ALAT ont été observées chez les femmes utilisant des médicaments contenant de l'éthinylestradiol tels que les CHC (voir la rubrique 4.3).
Par conséquent, les utilisatrices de DESOBEL doivent passer à une méthode alternative de contraception (par exemple une contraception progestative seule ou des méthodes non hormonales) avant de commencer un traitement avec ces associations de médicaments. DESOBEL pourra être réutilisé 2 semaines après la fin du traitement ces associations de médicaments.
Examens biologiques :
L’utilisation d’associations estroprogestatives peut modifier les résultats de certains examens biologiques tels que : les tests fonctionnels hépatiques, thyroïdiens, surrénaliens et rénaux, le taux plasmatique des protéines (porteuses) comme la corticosteroid-binding globulin (CBG) et des fractions lipidiques/lipoprotéiniques, les paramètres du métabolisme glucidique, les paramètres de la coagulation et de la fibrinolyse. Les modifications restent en général dans les limites de la normale.
4.6. Fertilité, grossesse et allaitement
Grossesse
DESOBEL n’est pas indiqué pendant la grossesse. Si une grossesse survient au cours de l’utilisation de DESOBEL, la prise de DESOBEL doit immédiatement être interrompue.
De nombreuses études épidémiologiques n’ont pas révélé d’augmentation du risque d’anomalies congénitales chez les enfants nés de femmes ayant utilisé un contraceptif oral avant la grossesse.
Aucun effet tératogène n’a été observé lorsqu’un contraceptif oral combiné a été pris par erreur en début de grossesse.
L’augmentation du risque de TEV en période post-partum doit être prise en compte lors de la reprise de DESOBEL (voir rubriques 4.2 et 4.4).
En cas d’allaitement, l’utilisation de ce médicament est déconseillée en raison du passage des estroprogestatifs dans le lait maternel.
Si la femme désire allaiter, un autre moyen de contraception doit être proposé.
4.7. Effets sur l'aptitude à conduire des véhicules et à utiliser des machines
Aucun effet sur l’aptitude à conduire des véhicules et à utiliser des machines n’a été observé.
Description de certains effets indésirables particuliers
Une augmentation du risque d'événement thrombotique et thrombo-embolique artériel et veineux, incluant l’infarctus du myocarde, l’AVC, les accidents ischémiques transitoires, la thrombose veineuse et l’embolie pulmonaire, a été observée chez les femmes utilisant des CHC ; ceci est abordé plus en détails en rubrique 4.4.
Les effets indésirables possiblement liés ayant été rapportés chez les utilisatrices de DESOBEL ou de CHC en général sont listés dans le tableau ci-dessous1 :
|
Classe des systèmes d’organes |
Fréquent (> 1/100) |
Peu fréquent (≥ 1/1 000 et < 1/100) |
Rare (< 1/1 000) |
Fréquence inconnue |
|
Affections du système immunitaire |
|
|
Hypersensibilité |
Aggravation des symptômes d’un angio-œdème héréditaire ou acquis |
|
Affections vasculaires |
|
|
Thrombo-embolie veineuse et thrombo-embolie artérielle |
|
|
Affections du métabolisme et de la nutrition |
|
Rétention d’eau |
|
|
|
Affections psychiatriques |
Humeur dépressive, changement d’humeur |
Diminution de la libido |
Augmentation de la libido |
|
|
Affections du système nerveux |
Maux de tête |
Migraine |
|
|
|
Affections oculaires |
|
|
Intolérance aux lentilles de contact |
|
|
Affections gastro-intestinales |
Nausée, douleur abdominale |
Vomissement, diarrhée |
|
|
|
Affections de la peau et du tissu sous-cutané |
|
Rash, urticaire |
Erythème noueux, érythème polymorphe |
|
|
Affections des organes génitaux et du sein |
Mastodynie, tensions mammaires |
Augmentation du volume des seins |
Ecoulement vaginal, écoulement mammaire |
|
|
Investigations |
Prise de poids |
|
Perte de poids |
|
1 les termes MeDRA (version 11.0) les plus appropriés pour décrire certaines réactions ont été repris. Les synonymes et les conditions apparentées ne sont pas mentionnés mais devront être aussi pris en compte.
Un certain nombre des effets indésirables ayant été rapporté chez les utilisatrices de contraceptifs oraux combinés, sont détaillés dans la rubrique 4.4. :
· hypertension artérielle,
· tumeurs hépatiques,
· apparition ou aggravation d'affections dont l'association avec les CHC n'est pas certaine : maladie de Crohn, colite hémorragique, épilepsie, migraine, fibrome utérin, porphyrie, lupus érythémateux disséminé, herpès gravidique, chorée de Sydenham, syndrome urémique hémolytique, ictère cholestatique,
· chloasma,
· perturbations chroniques ou sévères de la fonction hépatique pouvant nécessiter l'arrêt d'une CHC jusqu'à normalisation des tests de la fonction hépatique.
Interactions
Des métrorragies et/ou un échec de la contraception peuvent être le résultat d’interactions entre d’autres médicaments (inducteurs enzymatiques) et les contraceptifs oraux (voir rubrique 4.5).
Déclaration des effets indésirables suspectés
La déclaration des effets indésirables suspectés après autorisation du médicament est importante. Elle permet une surveillance continue du rapport bénéfice/risque du médicament. Les professionnels de santé déclarent tout effet indésirable suspecté via le système national de déclaration : Agence nationale de sécurité du médicament et des produits de santé (ANSM) et réseau des Centres Régionaux de Pharmacovigilance - Site internet : https://signalement.social-sante.gouv.fr/
Aucun cas de surdosage n'a été rapporté avec DESOBEL, comprimé.
L'expérience générale acquise avec les contraceptifs oraux combinés montre que les symptômes susceptibles d'apparaître dans un tel cas sont les suivants : nausées, vomissements et chez les jeunes filles, petits saignements vaginaux. Il n'existe pas d'antidote et le traitement doit être purement symptomatique.
5. PROPRIETES PHARMACOLOGIQUES
5.1. Propriétés pharmacodynamiques
Classe pharmacothérapeutique : Progestatifs et estrogènes en association fixe, code ATC : G03AA09.
L’effet contraceptif des COC est basé sur l’interaction de divers facteurs, les plus importants étant l’inhibition de l’ovulation et les modifications de la glaire cervicale.
DESOBEL est un contraceptif estro-progestatif combiné monophasique contenant 0,02 mg d’éthinyl-estradiol et 0,15 mg de désogestrel.
L’indice de Pearl de DESOBEL (nombre de grossesses sur 100 années femmes) : étudié sur 25970 cycles est de 0,05 pour 100 années- femmes.
· Population pédiatrique
Aucune donnée clinique concernant l'efficacité et la sécurité n'est disponible chez les adolescentes de moins de 18 ans.
5.2. Propriétés pharmacocinétiques
La demi-vie de l’ethinylestradiol est comprise entre 6 et 31 heures.
La demi-vie du désogestrel est comprise entre 21 heures et 42,5 heures.
5.3. Données de sécurité préclinique
2 ans.
6.4. Précautions particulières de conservation
A conserver à une température inférieure à 30°C
6.5. Nature et contenu de l'emballage extérieur
21 comprimés sous plaquette (PVC/Aluminium) ; boîtes de 1 ou 3.
6.6. Précautions particulières d’élimination et de manipulation
Pas d’exigences particulières.
7. TITULAIRE DE L’AUTORISATION DE MISE SUR LE MARCHE
Bâtiment «Le Newton»
9-11 rue Jeanne Braconnier
92366 MEUDON LA FORET
8. NUMERO(S) D’AUTORISATION DE MISE SUR LE MARCHE
· 34009 397 205 7 9 : 21 comprimés sous plaquettes (PVC/Aluminium). Boîte de 1 plaquette
· 34009 397 206 3 0 : 21 comprimés sous plaquette (PVC/Aluminium). Boîte de 3 plaquettes
9. DATE DE PREMIERE AUTORISATION/DE RENOUVELLEMENT DE L’AUTORISATION
A compléter ultérieurement par le titulaire.
10. DATE DE MISE A JOUR DU TEXTE
A compléter ultérieurement par le titulaire
Sans objet.
12. INSTRUCTIONS POUR LA PREPARATION DES RADIOPHARMACEUTIQUES
Liste I